²é¿´: 1797  |  »Ø¸´: 0

ÉñÃØÐÇÇò

ľ³æ (ÕýʽдÊÖ)

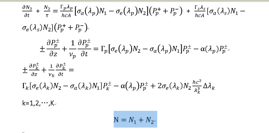
[ÇóÖú] Çó½ÌÈçºÎ½âÒ»½×·ÇÏßÐÔÆ«Î¢·Ö·½³Ì×é

ÇëÎʸ÷λ´óÉñ¸½¼þÖÐµÄÆ«Î¢·Ö·½³Ì×éÔõô½â£¿Çó½ÌÈçºÎ½âÒ»½×·ÇÏßÐÔÆ«Î¢·Ö·½³Ì×é
·½³Ì×é.png@ÔÂÖ»À¶@beefly
»Ø¸´´ËÂ¥

» ±¾Ìû¸½¼þ×ÊÔ´Áбí

  • »¶Ó­¼à¶½ºÍ·´À¡£ºÐ¡Ä¾³æ½öÌṩ½»Á÷ƽ̨£¬²»¶Ô¸ÃÄÚÈݸºÔð¡£
    ±¾ÄÚÈÝÓÉÓû§×ÔÖ÷·¢²¼£¬Èç¹ûÆäÄÚÈÝÉæ¼°µ½ÖªÊ¶²úȨÎÊÌ⣬ÆäÔðÈÎÔÚÓÚÓû§±¾ÈË£¬Èç¶Ô°æÈ¨ÓÐÒìÒ飬ÇëÁªÏµÓÊÏ䣺xiaomuchong@tal.com
  • ¸½¼þ 1 : ·½³Ì×é.docx
  • 2016-12-16 17:13:16, 14.62 K

» ²ÂÄãϲ»¶

0010
ÒÑÔÄ   »Ø¸´´ËÂ¥   ¹Ø×¢TA ¸øTA·¢ÏûÏ¢ ËÍTAºì»¨ TAµÄ»ØÌû
Ïà¹Ø°æ¿éÌø×ª ÎÒÒª¶©ÔÄÂ¥Ö÷ ÉñÃØÐÇÇò µÄÖ÷Ìâ¸üÐÂ
×î¾ßÈËÆøÈÈÌûÍÆ¼ö [²é¿´È«²¿] ×÷Õß »Ø/¿´ ×îºó·¢±í
[¿¼ÑÐ] 306Çóµ÷¼Á +9 chuanzhu´¨Öò 2026-03-18 9/450 2026-03-23 13:17 by luoyongfeng
[¿¼ÑÐ] ¹¤¿Æ²ÄÁÏ085601 279Çóµ÷¼Á +8 À§ÓÚÐdz¿ 2026-03-17 10/500 2026-03-23 13:05 by ×íÔÚ·çÀï
[¿¼ÑÐ] ÇóÀÏʦÊÕÎÒ +3 zzh16938784 2026-03-23 3/150 2026-03-23 12:56 by ztnimte
[¿¼ÑÐ] 306Çó0703µ÷¼ÁÒ»Ö¾Ô¸»ªÖÐʦ·¶ +6 Ö½Óãly 2026-03-21 6/300 2026-03-23 12:08 by Iveryant
[¿¼ÑÐ] Çóµ÷¼Á²ÄÁÏѧ˶080500£¬×Ü·Ö289·Ö 5+3 @taotao 2026-03-19 21/1050 2026-03-23 10:17 by ¹Úc¸ç
[¿¼ÑÐ] 0703 µ÷¼Á +3 ÎÒ¿ÉÒÔÉϰ¶µÄ¶Ô 2026-03-16 6/300 2026-03-23 08:52 by ×íÔÚ·çÀï
[¿¼ÑÐ] ²ÄÁÏÓ뻯¹¤085600£¬×Ü·Ö304£¬±¾¿ÆÓÐÁ½Æªsci²ÎÓ룬Çóµ÷¼Á +4 ÐÒÔ˵Ľ´½´ 2026-03-22 5/250 2026-03-22 20:15 by edmund7
[¿¼ÑÐ] 298Çóµ÷¼ÁÒ»Ö¾Ô¸211 +3 Éϰ¶6666@ 2026-03-20 3/150 2026-03-22 15:50 by ColorlessPI
[¿¼ÑÐ] 311Çóµ÷¼Á +3 26ÑÐ0 2026-03-20 3/150 2026-03-22 14:46 by ColorlessPI
[¿¼ÑÐ] Çóµ÷¼Á +3 .m.. 2026-03-21 4/200 2026-03-21 16:25 by barlinike
[¿¼ÑÐ] Çóµ÷¼Á +6 Mqqqqqq 2026-03-19 6/300 2026-03-21 08:04 by JourneyLucky
[¿¼ÑÐ] ³õʼ318·ÖÇóµ÷¼Á£¨Óй¤×÷¾­Ñ飩 +3 1911236844 2026-03-17 3/150 2026-03-21 02:33 by JourneyLucky
[¿¼ÑÐ] 324·Ö 085600²ÄÁÏ»¯¹¤Çóµ÷¼Á +4 llllkkkhh 2026-03-18 4/200 2026-03-21 01:24 by JourneyLucky
[¿¼ÑÐ] Ò»Ö¾Ô¸»ªÄÏʦ´ó 070300£¨»¯Ñ§£©304·ÖÇóµ÷¼Á +3 0703ÎäÜ·»ÛÑ©304 2026-03-18 3/150 2026-03-21 00:48 by JourneyLucky
[¿¼ÑÐ] Ò»Ö¾Ô¸Î÷ÄϽ»´ó£¬Çóµ÷¼Á +5 ²Ä»¯ÖðÃÎÈË 2026-03-18 5/250 2026-03-21 00:26 by JourneyLucky
[¿¼ÑÐ] 330Çóµ÷¼Á +4 С²Ä»¯±¾¿Æ 2026-03-18 4/200 2026-03-20 23:13 by JourneyLucky
[¿¼ÑÐ] 290Çóµ÷¼Á +7 ^O^Ø¿ 2026-03-19 7/350 2026-03-20 21:43 by JourneyLucky
[¿¼ÑÐ] ¹ãÎ÷´óѧ¼ÒÇÝÒÅ´«ÓýÖÖ¿ÎÌâ×é2026Äê˶ʿÕÐÉú£¨½ÓÊÕ¼ÆËã»úרҵµ÷¼Á£© +3 123°¢±ê 2026-03-17 3/150 2026-03-20 15:58 by ·ÉÐÐçù
[¿¼ÑÐ] ¡¾Í¬¼ÃÈí¼þ¡¿Èí¼þ£¨085405£©¿¼ÑÐÇóµ÷¼Á +3 2026eternal 2026-03-18 3/150 2026-03-18 19:09 by ²«»÷518
[¿¼ÑÐ] ¿¼ÑÐÇóµ÷¼Á +3 éÙËÌ. 2026-03-17 4/200 2026-03-17 21:43 by ÓÐÖ»ÀêÅ«
ÐÅÏ¢Ìáʾ
ÇëÌî´¦ÀíÒâ¼û