| 查看: 1205 | 回复: 6 | ||
奋斗的敏敏银虫 (初入文坛)
|
[求助]
石墨的CV中扫出了一个明显的还原峰怎么解释,求助各位大神 已有2人参与
|
|
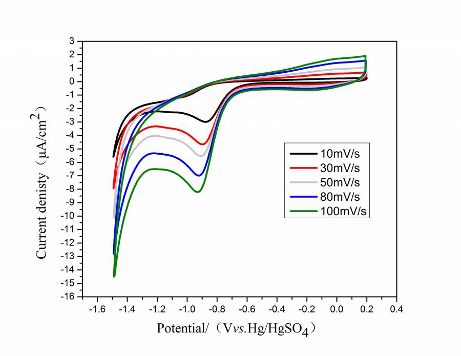
本人刚接触电化学,测试石墨的循环伏安扫描图如下,测试条件为在室温下,电解液为浓度为1 mol/L 的H2SO4溶液,对电极为铂片电极,参比电极为汞/硫酸汞(Hg/HgSO4)电极,分别以10 mV/s,30 mV/s,50 mV/s,80 mV/s,100 mV/s的速率扫描,扫描电位范围为-1.5V~0.2V。想问为什么有一个明显的还原峰,怎么解释,求教各位大神!!! 石墨的CV图.jpg |
» 猜你喜欢
德国Karlsruhe Institute of Technology招收电化学储能及联合培养CSC博士等
已经有20人回复
德国Karlsruhe Institute of Technology招收电化学储能及联合培养CSC博士
已经有24人回复
分析化学论文润色/翻译怎么收费?
已经有96人回复
德国Karlsruhe Institute of Technology招收电化学储能及联合培养CSC博士
已经有1人回复
固态锂金属电池迁移数计算求助
已经有1人回复
荷兰奈梅亨大学赵文博与Galimberti课题组招收理论计算CSC博士 2000 欧元/月+房补
已经有0人回复
26储能博士申请自荐
已经有22人回复
上海交通大学--宁波东方理工大学电池方向博士招生
已经有10人回复
海南大学全国重点实验室杨金霖老师招收储能电池方向博士生(2026年3月报名,9月入学)
已经有1人回复
海南师范大学2026年博士研究生招收 (在职想提升学历人员可报考) 申请考核制+普通招考
已经有0人回复
申博求助
已经有0人回复
» 本主题相关商家推荐: (我也要在这里推广)

1592203609
荣誉版主 (知名作家)
- 应助: 254 (大学生)
- 贵宾: 0.37
- 金币: 35191.9
- 散金: 468
- 红花: 164
- 沙发: 5
- 帖子: 5653
- 在线: 2195.1小时
- 虫号: 1766262
- 注册: 2012-04-19
- 性别: GG
- 专业: 有机合成
- 管辖: 仿真模拟
2楼2016-12-16 17:08:42
1592203609
荣誉版主 (知名作家)
- 应助: 254 (大学生)
- 贵宾: 0.37
- 金币: 35191.9
- 散金: 468
- 红花: 164
- 沙发: 5
- 帖子: 5653
- 在线: 2195.1小时
- 虫号: 1766262
- 注册: 2012-04-19
- 性别: GG
- 专业: 有机合成
- 管辖: 仿真模拟
3楼2016-12-16 17:10:05
4楼2016-12-17 11:08:52
5楼2016-12-19 16:21:25
wangwei0905
金虫 (正式写手)
- 应助: 5 (幼儿园)
- 金币: 1047.1
- 散金: 196
- 红花: 4
- 帖子: 516
- 在线: 106.4小时
- 虫号: 3067301
- 注册: 2014-03-18
- 性别: GG
- 专业: 能源化工
6楼2017-05-31 03:20:48
7楼2017-05-31 10:24:10













回复此楼