| 查看: 371 | 回复: 0 | ||
xiaofeiyu0木虫 (正式写手)
|
[求助]
费米积分函数中的mu 如何计算?
|
|
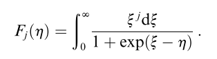
费米积分中的mu 定义为 mu= Ef /kB T,为the reduced electrochemical potential。我有点迷糊,这里的Ef就是我们计算能带时用的Ef吗?如果是的话,mu值也太大了。它的物理意义又是什么呢?求解? 11.png |
» 猜你喜欢
279分求调剂 一志愿211
已经有16人回复
求调剂一志愿武汉理工大学材料工程(085601)
已经有5人回复
上海电力大学材料防护与新材料重点实验室招收调剂研究生(材料、化学、电化学,环境)
已经有3人回复
急发核心期刊论文
已经有5人回复
291 求调剂
已经有5人回复
298-一志愿中国农业大学-求调剂
已经有11人回复
一志愿南京理工大学085701资源与环境302分求调剂
已经有7人回复
316求调剂
已经有7人回复
材料与化工考研调剂
已经有4人回复
一志愿重庆大学085700资源与环境,总分308求调剂
已经有7人回复














回复此楼