| 查看: 1496 | 回复: 9 | ||||
[求助]
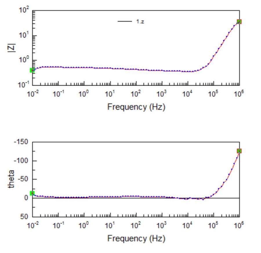
各位大神,请问Nyquist图在第二象限的部分是什么意思?已有2人参与
|
||||
|
|
||||
|
2楼2016-12-12 16:51:53
|
|
|||
vcnet15专家顾问 (正式写手)
|
||||
|
3楼2016-12-12 21:18:55
|
|
|||
|
4楼2016-12-13 14:26:19
|
|
|||
vcnet15专家顾问 (正式写手)
|
||||
|
5楼2016-12-13 22:54:20
|
|
|||
|
6楼2016-12-14 10:14:24
|
|
|||
vcnet15专家顾问 (正式写手)
|
» 本帖附件资源列表
2016-12-25 18:15:53, 3.43 M
» 本帖已获得的红花(最新10朵) |
|||
|
7楼2016-12-25 18:17:12
|
|
|||
|
8楼2017-01-04 11:26:48
|
|
|||
cy66782039木虫 (正式写手)
至尊金虫
|
【答案】应助回帖
|
|||
![]() |
||||
|
9楼2017-01-04 16:18:50
|
|
|||
cy66782039木虫 (正式写手)
至尊金虫
|
||||
![]() |
||||
|
10楼2017-01-04 16:21:15
|
|













回复此楼


mosaic001