| ²é¿´: 6605 | »Ø¸´: 9 | ||||
¹ÛÒô½ã½ãгæ (СÓÐÃûÆø)
|
[½»Á÷]
CFD ÖбÚÃæÇÐÓ¦Á¦µÄ¼ÆËã
|
|
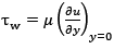
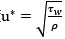
»ÆÀÏʦ£¬ÏòÄúÇë½ÌÒ»¸ö¹ØÓÚfluentÖмÆËã±ÚÃæÇÐÓ¦Á¦µÄÎÊÌâ¡£Èç¹ûÍø¸ñ»µÄºÜϸ£¬Ê¹Óýü±ÚÃæÄ£ÐÍÄ£Äâ±ß½ç²ãÄÚÁ÷¶¯£¬²¢Ê¹µÚÒ»²ãÍø¸ñλÓÚ²ãÁ÷µ×²ãÄÚ£¬ÄÇôY·½Ïò¼ôÇÐÁ¦µÄ¼ÆË㹫ʽÊÇhttp://muchongimg.xmcimg.com/dat ... _1481527482_799.png ¡£ÄÇÈç¹û²ÉÓñÚÃæº¯ÊýÀ´´¦Àí±ß½ç²ã£¬±ÈÈç˵ÓÃk-eÄ£ÐÍ+±ê×¼±ÚÃæº¯Êý£¬µÚÒ»²ãÍø¸ñλÓÚ¶ÔÊýÂÉÇøÓò£¬ÓÉÓÚ°üº¬ÁËÕ³ÐԵײãºÍ¹ý¶ÉÇø£¬Á÷Ìå¶Ô±ÚÃæµÄÇÐÓ¦Á¦²»Âú×ãÅ£¶ÙÄÚĦ²Á¶¨ÂÉ£¬ÄÇôÕâʱ±ÚÃæÇÐÓ¦Á¦¸ÃÈçºÎ¼ÆËãÄØ£¿ ÎÒ¿´ÁËfluentµÄ°ïÖú£¬http://muchongimg.xmcimg.com/dat ... _1481527506_837.png £¬¿ÉÒÔͨ¹ý½ü±ÚÃæÄ¦²ÁËٶȺÍÃܶÈÇó³ö£¬µ«ÊDZÚÃæÄ¦²ÁËÙ¶ÈÓÖÔõôÇó³öÄØ£¿ 001DKwyezy6YpTCXMl0be&690.png 001DKwyezy6YpTCYk30ea&690.png |
» ²ÂÄãϲ»¶
ÇóbÇøÔºÐ£µ÷¼Á
ÒѾÓÐ3È˻ظ´
²ÄÁÏÓ뻯¹¤¿¼Ñе÷¼Á
ÒѾÓÐ8È˻ظ´
281Çóµ÷¼Á
ÒѾÓÐ5È˻ظ´
0854µç×ÓÐÅÏ¢Çóµ÷¼Á 324
ÒѾÓÐ4È˻ظ´
²ÄÁϵ÷¼Á
ÒѾÓÐ3È˻ظ´
Ò»Ö¾Ô¸¼ªÁÖ´óѧ²ÄÁÏÓ뻯¹¤303·ÖÇóµ÷¼Á
ÒѾÓÐ4È˻ظ´
294Çóµ÷¼Á²ÄÁÏÓ뻯¹¤×¨Ë¶
ÒѾÓÐ17È˻ظ´
271Çóµ÷¼Á
ÒѾÓÐ4È˻ظ´
Çóµ÷¼Á323²ÄÁÏÓ뻯¹¤
ÒѾÓÐ4È˻ظ´
²ÄÁÏѧ˶£¬Çóµ÷¼Á
ÒѾÓÐ9È˻ظ´
» ±¾Ö÷ÌâÏà¹Ø¼ÛÖµÌùÍÆ¼ö£¬¶ÔÄúͬÑùÓаïÖú:
cfd³õѧÁ˽â
ÒѾÓÐ42È˻ظ´
ANSYS14.0
ÒѾÓÐ15È˻ظ´
¹ÛÒô½ã½ã
гæ (СÓÐÃûÆø)
- Ó¦Öú: 0 (Ó×¶ùÔ°)
- ½ð±Ò: 344.5
- É¢½ð: 2
- ºì»¨: 1
- Ìû×Ó: 77
- ÔÚÏß: 38.1Сʱ
- ³æºÅ: 1977834
- ×¢²á: 2012-09-05
- רҵ: ´«ÈÈ´«ÖÊѧ
2Â¥2016-12-12 15:27:41
dai26520
ר¼Ò¹ËÎÊ (ÖøÃûдÊÖ)
-

ר¼Ò¾Ñé: +219 - ·ÂÕæEPI: 1
- Ó¦Öú: 224 (´óѧÉú)
- ½ð±Ò: 4097
- É¢½ð: 4143
- ºì»¨: 107
- Ìû×Ó: 1850
- ÔÚÏß: 529.6Сʱ
- ³æºÅ: 1619980
- ×¢²á: 2012-02-16
- רҵ: ¸ß·Ö×Ӻϳɻ¯Ñ§
- ¹ÜϽ: ·ÂտģÄâ
¡ï
Сľ³æ: ½ð±Ò+0.5, ¸ø¸öºì°ü£¬Ð»Ð»»ØÌû
Сľ³æ: ½ð±Ò+0.5, ¸ø¸öºì°ü£¬Ð»Ð»»ØÌû
|
¼û¹ý¼¸ÆªÀàËÆµÄ×ÊÁÏ£¬¿ÉÄÜ»á¶ÔÄãÓÐһЩ°ïÖú£¬Ë½ÁÄÎÒ¡£ ·¢×ÔСľ³æIOS¿Í»§¶Ë |

3Â¥2016-12-13 06:41:54
°¬ÓïÁø
гæ (СÓÐÃûÆø)
- Ó¦Öú: 2 (Ó×¶ùÔ°)
- ½ð±Ò: 477.7
- É¢½ð: 25
- Ìû×Ó: 196
- ÔÚÏß: 37.2Сʱ
- ³æºÅ: 2569507
- ×¢²á: 2013-07-28
- ÐÔ±ð: MM
- רҵ: Ò©¼Áѧ

4Â¥2017-01-13 19:40:13
ÇÒÌý·çÒ÷R
½ð³æ (СÓÐÃûÆø)
- Ó¦Öú: 0 (Ó×¶ùÔ°)
- ½ð±Ò: 636.6
- É¢½ð: 65
- ºì»¨: 2
- Ìû×Ó: 205
- ÔÚÏß: 84.1Сʱ
- ³æºÅ: 3198539
- ×¢²á: 2014-05-11
- ÐÔ±ð: GG
- רҵ: Á÷ÌåÁ¦Ñ§
5Â¥2017-05-04 19:44:00
lupei
гæ (СÓÐÃûÆø)
- Ó¦Öú: 0 (Ó×¶ùÔ°)
- ½ð±Ò: 970.6
- Ìû×Ó: 98
- ÔÚÏß: 49.4Сʱ
- ³æºÅ: 3837938
- ×¢²á: 2015-04-28
- רҵ: ´«ÈÈ´«ÖÊѧ
6Â¥2017-05-16 16:47:38
myyanjie
гæ (³õÈëÎÄ̳)
- Ó¦Öú: 0 (Ó×¶ùÔ°)
- ½ð±Ò: 2
- Ìû×Ó: 4
- ÔÚÏß: 9.2Сʱ
- ³æºÅ: 3109515
- ×¢²á: 2014-04-02
- רҵ: ÄÚÁ÷Á÷ÌåÁ¦Ñ§
¡ï
Сľ³æ: ½ð±Ò+0.5, ¸ø¸öºì°ü£¬Ð»Ð»»ØÌû
Сľ³æ: ½ð±Ò+0.5, ¸ø¸öºì°ü£¬Ð»Ð»»ØÌû
| ½üÀ´Ò²ÔÚ¿¼ÂDZÚÃæÎÊÌ⣬ÕÒµ½Ò»¸öÎļþ£¬Ï£Íû¶Ô´ó¼ÒÓÐÓá£ÕâÊǽ²ÍÄÁ÷Ä£Ð͵ÄѡȡµÄ£¬ÆäÖÐp26¿ªÊ¼ÓиöÀý×ÓÓ¦¸Ã¿ÉÒԻشðÕâ¸öÎÊÌâ¡£ |
» ±¾Ìû¸½¼þ×ÊÔ´Áбí
-
»¶Ó¼à¶½ºÍ·´À¡£ºÐ¡Ä¾³æ½öÌṩ½»Á÷ƽ̨£¬²»¶Ô¸ÃÄÚÈݸºÔð¡£
±¾ÄÚÈÝÓÉÓû§×ÔÖ÷·¢²¼£¬Èç¹ûÆäÄÚÈÝÉæ¼°µ½ÖªÊ¶²úȨÎÊÌ⣬ÆäÔðÈÎÔÚÓÚÓû§±¾ÈË£¬Èç¶Ô°æÈ¨ÓÐÒìÒ飬ÇëÁªÏµÓÊÏ䣺xiaomuchong@tal.com - ¸½¼þ 1 : Fluent-Intro_14.5_L07_Turbulence.pdf
2018-12-21 09:59:02, 2.05 M
7Â¥2018-12-21 09:59:20
Tom777
гæ (³õÈëÎÄ̳)
- Ó¦Öú: 0 (Ó×¶ùÔ°)
- ½ð±Ò: 13.5
- Ìû×Ó: 3
- ÔÚÏß: 14·ÖÖÓ
- ³æºÅ: 13523922
- ×¢²á: 2018-12-25
- רҵ: Á÷ÌåÁ¦Ñ§
¡ï
Сľ³æ: ½ð±Ò+0.5, ¸ø¸öºì°ü£¬Ð»Ð»»ØÌû
Сľ³æ: ½ð±Ò+0.5, ¸ø¸öºì°ü£¬Ð»Ð»»ØÌû
|
ÆäʵÄãÓеã»ìÏýÁË£ºÖ±½ÓÄ£Äâ±ß½ç²ãºÍÓÃǽº¯Êý¼ÆËã±ß½ç²ãµÄ¶¨Òå¡£ Ö±½ÓÄ£Äâ±ß½ç²ã£¬ÐèÒªÀëǽµÄµÚÒ»²ãÍø¸ñÔÚ²ãÁ÷±ß½çÄÚ£¬¼´»ùÓÚǽµ¥ÔªµÄy_plusСÓÚ1¡£´Ëʱţ¶ÙÇÐÓ¦Á¦¹«Ê½³ÉÁ¢¡£Ç½Ó¦Á¦¼´¿Éͨ¹ýËÙ¶ÈÌݶÈÇó³ö¡£´ËʱÄãËùÊöµÄ¹«Ê½¶þ³ÉÁ¢¡£Í¨¹ýÄãËùÊö¹«Ê½¶þ¿ÉÒÔÇóµÃĦ²ÁËÙ¶Èu_f¡£ ²ÉÓÃǽº¯ÊýÇó½â±ß½ç²ã£¬ÐèÒªÀëǽµÄµÚÒ»²ãÍø¸ñÔÚ¶ÔÊý±ß½ç²ãÄÚ¡£»ùÓÚǽµ¥ÔªµÄy_plusµÈÓÚ50µ½100×óÓÒ¡£´Ëʱ±ß½ç²ãËÙ¶È¿ÉÒÔͨ¹ý¶ÔÇò×¼ÔòÇóÈ¡¡£ÆäÖÐÓõ½µÄĦ²ÁËÙ¶ÈÊÇͨ¹ýÉÏÊöµÄ²ãÁ÷±ß½ç²ãµÄÏà¹Ø¹«Ê½ÇóÈ¡µÄ¡£ÖÁÓÚͨ¹ýËÙ¶ÈÌݶÈÇóÈ¡µÄÇÐÓ¦Á¦²¢·ÇǽӦÁ¦¡£ ·¢×ÔСľ³æIOS¿Í»§¶Ë |
8Â¥2018-12-25 15:09:42
Ïü¸çµÚÒ»
гæ (³õÈëÎÄ̳)
- Ó¦Öú: 0 (Ó×¶ùÔ°)
- ½ð±Ò: 31.5
- Ìû×Ó: 22
- ÔÚÏß: 10·ÖÖÓ
- ³æºÅ: 21625180
- ×¢²á: 2020-03-27
¡ï
Сľ³æ: ½ð±Ò+0.5, ¸ø¸öºì°ü£¬Ð»Ð»»ØÌû
Сľ³æ: ½ð±Ò+0.5, ¸ø¸öºì°ü£¬Ð»Ð»»ØÌû
|
ÄúºÃ£¬ÎÒ˽ÁÄÄúÁË£¬Âé·³Äú¸øÎÒ·¢¼¸ÆªÎÄÏ×°É ·¢×ÔСľ³æAndroid¿Í»§¶Ë |
9Â¥2021-01-24 17:46:48
ijСѧÉú
гæ (СÓÐÃûÆø)
- Ó¦Öú: 0 (Ó×¶ùÔ°)
- ½ð±Ò: 268.5
- Ìû×Ó: 59
- ÔÚÏß: 20.7Сʱ
- ³æºÅ: 3757733
- ×¢²á: 2015-03-22
- ÐÔ±ð: GG
- רҵ: Ë®Á¦»úе¼°Æäϵͳ
10Â¥2022-01-19 11:49:40













»Ø¸´´ËÂ¥