±±¾©Ê¯ÓÍ»¯¹¤Ñ§Ôº2026ÄêÑо¿ÉúÕÐÉú½ÓÊÕµ÷¼Á¹«¸æ
²é¿´: 433  |  »Ø¸´: 0

´óѧ225

ľ³æ (СÓÐÃûÆø)

[ÇóÖú] Çó´óÉñ°ïæ·ÖÎöÒ»¸öCVÇúÏß

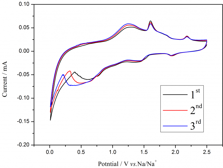
ÄÆµç³Ø°ëµç³ØµÄCV ÇúÏߣ¬ »îÐÔ×é·Ö°üº¬Ì¼ÄÉÃ׹ܠ SnO2ºÍSnS2£¬µç½âÒºÊǸßÂÈËáÄÆ EC/PC   Ìí¼ÓÁË5%µÄFEC   µÃµ½µÄÇúÏߵķåÌ«¶àÁË£¬Óм¸¸ö¸úÎÄÏ׵ľͶԲ»ÉÏ¡£

Çó´óÉñ°ïæ·ÖÎöÒ»¸öCVÇúÏß
2ºÅÑù-1.png
»Ø¸´´ËÂ¥
ŬÁ¦
ÒÑÔÄ   »Ø¸´´ËÂ¥   ¹Ø×¢TA ¸øTA·¢ÏûÏ¢ ËÍTAºì»¨ TAµÄ»ØÌû
Ïà¹Ø°æ¿éÌø×ª ÎÒÒª¶©ÔÄÂ¥Ö÷ ´óѧ225 µÄÖ÷Ìâ¸üÐÂ
×î¾ßÈËÆøÈÈÌûÍÆ¼ö [²é¿´È«²¿] ×÷Õß »Ø/¿´ ×îºó·¢±í
[¿¼ÑÐ] 303Çóµ÷¼Á +7 DLkz1314. 2026-03-30 7/350 2026-03-30 21:07 by peike
[¿¼ÑÐ] 08¹¤¿ÆÇóµ÷¼Á286 +4 tgs_001 2026-03-28 4/200 2026-03-30 21:03 by dophin1985
[¿¼ÑÐ] Ò»Ö¾Ô¸Äϲý´óѧ324Çóµ÷¼Á +9 hanamiko 2026-03-27 9/450 2026-03-30 20:10 by Î޼ʵIJÝÔ­
[¿¼ÑÐ] 085601²ÄÁϹ¤³ÌÕÒµ÷¼Á +17 oatmealR 2026-03-29 18/900 2026-03-30 19:21 by Wang200018
[¿¼ÑÐ] 0703Ò»Ö¾Ô¸9£¬³õÊԳɼ¨£º338£¬ËÄÁù¼¶Òѹý£¬ÓпÆÑо­Àú£¬Çóµ÷¼Á£¡ +7 Zuhui0306 2026-03-25 7/350 2026-03-30 19:01 by Ô´_2020
[¿¼ÑÐ] 295²ÄÁϹ¤³Ìר˶Çóµ÷¼Á +10 1428151015 2026-03-27 10/500 2026-03-30 19:00 by Ô´_2020
[¿¼ÑÐ] 08¹¤¿Æ£¬295£¬½ÓÊÜ¿çרҵµ÷¼Á +3 lmnlzy 2026-03-30 3/150 2026-03-30 17:49 by wangjy2002
[¿¼ÑÐ] 317Çóµ÷¼Á +10 µ°»ÆÏÌÈâôÕ 2026-03-26 10/500 2026-03-30 09:45 by longlotian
[¿¼ÑÐ] 295Çóµ÷¼Á +5 wei-5 2026-03-26 5/250 2026-03-30 08:34 by ̽123
[¿¼ÑÐ] Ò»Ö¾Ô¸Î人Àí¹¤£¬×Ü·Ö321£¬Ó¢Ò»Êý¶þ£¬ÇóÀÏʦÊÕÁô¡£ +11 nnnnnnn5 2026-03-25 11/550 2026-03-29 20:42 by Î޼ʵIJÝÔ­
[¿¼ÑÐ] ¿¼Ñе÷¼Á +7 СÀ¯ÐÂ±Ê 2026-03-29 7/350 2026-03-29 19:00 by ѧԱ8dgXkO
[¿¼ÑÐ] µ÷¼Á¿¼ÑÐ +3 Íõ½ÜÒ» 2026-03-29 3/150 2026-03-29 08:09 by fmesaito
[˶²©¼ÒÔ°] ÕÐÊÕÉúÎïѧ/ϸ°ûÉúÎïѧµ÷¼Á +4 IceGuo 2026-03-26 5/250 2026-03-29 01:25 by griffith2014
[¿¼ÑÐ] 356Çóµ÷¼Á +3 gysy?s?a 2026-03-28 3/150 2026-03-29 00:33 by 544594351
[¿¼ÑÐ] ²ÄÁÏÇóµ÷¼ÁÒ»Ö¾Ô¸¹þ¹¤´ó324 +7 ãÆÐñ¶« 2026-03-28 9/450 2026-03-28 08:51 by Xu de nuo
[¿¼ÑÐ] Çóµ÷¼ÁÍÆ¼ö ²ÄÁÏ 304 +15 ºÉ°üµ°hyj 2026-03-26 15/750 2026-03-28 04:13 by fmesaito
[¿¼ÑÐ] 315·ÖÇóµ÷¼Á +7 26¿¼ÑÐÉϰ¶°æ26 2026-03-26 7/350 2026-03-28 04:05 by fmesaito
[¿¼ÑÐ] 0703»¯Ñ§338Çóµ÷¼Á£¡ +6 Zuhui0306 2026-03-26 7/350 2026-03-27 10:35 by shangxh
[¿¼ÑÐ] µ÷¼Á +4 13853210211 2026-03-24 4/200 2026-03-24 19:44 by ms629
[¿¼ÑÐ] 292Çóµ÷¼Á +4 ¶ì¶ì¶ì¶î¶î¶î¶î¶ 2026-03-24 4/200 2026-03-24 16:41 by peike
ÐÅÏ¢Ìáʾ
ÇëÌî´¦ÀíÒâ¼û