| 查看: 1319 | 回复: 4 | |
cat_and_fish铁杆木虫 (正式写手)
|
[求助]
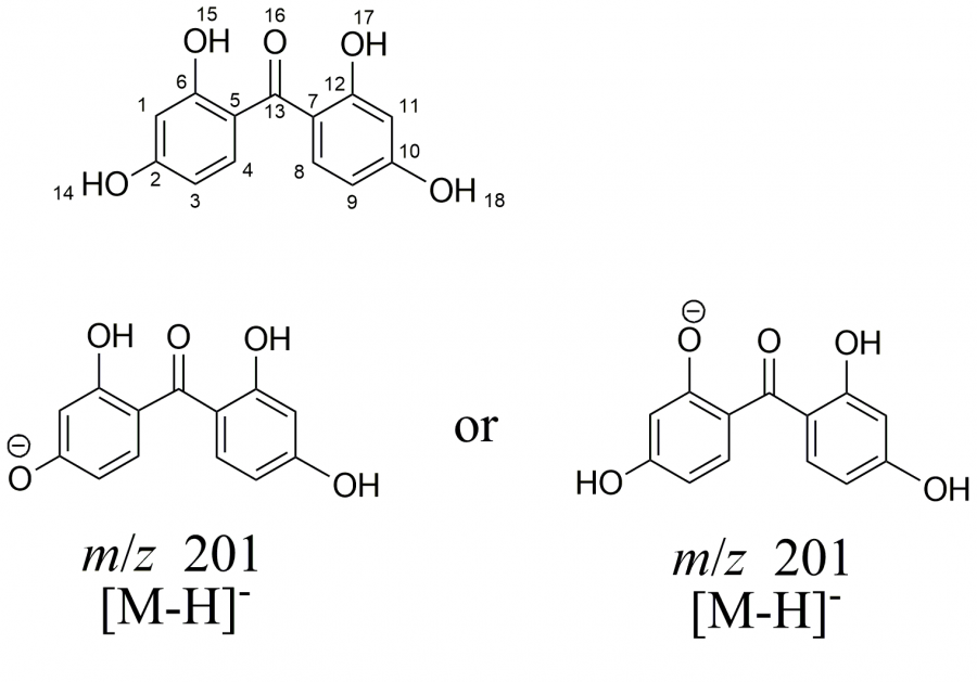
请问 如下物质在ESI-MS的negative 形成[M-H]-的时候,是掉哪个氢呢? 已有1人参与
|
|
|
|
wy19871124新虫 (职业作家)
质谱首席顾问
|
|
|
2楼2016-12-11 21:29:08
|
|
cat_and_fish铁杆木虫 (正式写手)
|
|
|
3楼2016-12-11 21:38:40
|
|
yuzhan木虫 (正式写手)
Keep moving forward
|
|
|
4楼2016-12-12 21:42:35
|
|
cat_and_fish铁杆木虫 (正式写手)
|
|
|
5楼2016-12-13 09:38:02
|
|













回复此楼
20