| 查看: 380 | 回复: 2 | ||
因为走,不远新虫 (正式写手)
|
[求助]
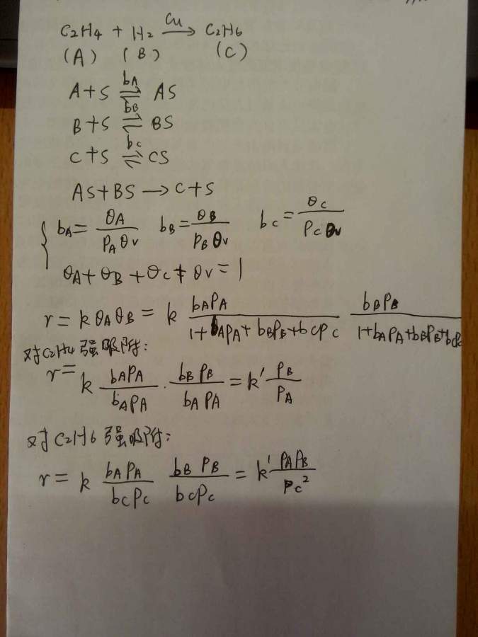
动力学证反应速率 已有1人参与
|
|
麻烦大家解答一下,谢谢了! 发自小木虫Android客户端 |
» 猜你喜欢
武汉纺织大学-材料科学与工程学院-姜伟杰青团队-招生物方向调剂
已经有0人回复
武汉纺织大学-材料科学与工程学院-招 生物方向 硕士!
已经有0人回复
有机高分子材料论文润色/翻译怎么收费?
已经有190人回复
武汉纺织大学-材料科学与工程学院-姜伟杰青团队-招生物方向调剂
已经有0人回复
[武汉纺织大学]材料学院[姜伟团队名称]课题组-2026年硕士研究生调剂信息
已经有0人回复
武汉纺织大学-材料科学与工程学院-姜伟杰青团队-招调剂
已经有0人回复
生物医学材料前沿科普:低密度、高孔隙率的“多孔微球”核心技术与应用全景
已经有1人回复
湖南工业大学周贵寅组招生物医学工程(学硕07、08都行)、生物与医药(专硕08)硕士生
已经有0人回复
湖南工业大学周贵寅组招生物医学工程(学硕07、08都行)和生物与医药(专硕08)硕士生
已经有0人回复
考研求调剂
已经有0人回复
2026年中南民族大学化学与材料科学学院调剂公告
已经有19人回复
甄士隐207
木虫之王 (文学泰斗)
- ICEPI: 6
- 应助: 959 (博后)
- 贵宾: 0.369
- 金币: 95916.1
- 散金: 8136
- 红花: 222
- 沙发: 6157
- 帖子: 60782
- 在线: 4195.9小时
- 虫号: 2803014
- 注册: 2013-11-15
- 专业: 史学史
【答案】应助回帖
★ ★ ★ ★ ★ ★ ★ ★ ★ ★ ★ ★ ★ ★ ★ ★ ★ ★ ★ ★ ★ ★ ★
感谢参与,应助指数 +1
冰点降温: 金币+3, 谢谢回帖,欢迎常来无机物化版块。 2016-12-08 20:22:01
因为走,不远(冰点降温代发): 金币+10 2016-12-08 20:30:14
因为走,不远(冰点降温代发): 金币+10 2016-12-14 09:28:14
感谢参与,应助指数 +1
冰点降温: 金币+3, 谢谢回帖,欢迎常来无机物化版块。 2016-12-08 20:22:01
因为走,不远(冰点降温代发): 金币+10 2016-12-08 20:30:14
因为走,不远(冰点降温代发): 金币+10 2016-12-14 09:28:14
|
如图所示。 发自小木虫Android客户端 |
2楼2016-12-08 12:34:04
因为走,不远
新虫 (正式写手)
- 应助: 1 (幼儿园)
- 金币: 509
- 散金: 503
- 帖子: 370
- 在线: 91.3小时
- 虫号: 3152932
- 注册: 2014-04-21
- 性别: MM
- 专业: 半导体光电子器件
3楼2016-12-13 17:31:22














回复此楼
10