| ²é¿´: 550 | »Ø¸´: 2 | ||
deng2016гæ (³õÈëÎÄ̳)
|
[ÇóÖú]
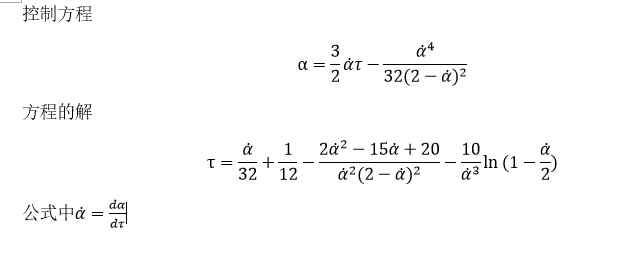
΢·Ö·½³Ì£¬³êл200RMB
|
|
±¾ÈËÐèÒªÇó½âÒ»¸ö΢·Ö·½³Ì£¬ÓпØÖÆ·½³ÌºÍ×îÖմ𰸣¬µ«ÊÇûÓÐÇó½â¹ý³Ì¡£Èç¹ûÄܸø³öÇó½â¹ý³Ì£¬³êл200RMB ·¢×ÔСľ³æAndroid¿Í»§¶Ë |
» ²ÂÄãϲ»¶
290Çóµ÷¼Á
ÒѾÓÐ7È˻ظ´
Ò»Ö¾Ô¸ÖÐÄÏ»¯Ñ§£¨0703£©×Ü·Ö337Çóµ÷¼Á
ÒѾÓÐ8È˻ظ´
±±¿Æ281ѧ˶²ÄÁÏÇóµ÷¼Á
ÒѾÓÐ5È˻ظ´
Çóµ÷¼ÁÒ»Ö¾Ô¸ÄϾ©º½¿Õº½Ìì´óѧ289·Ö
ÒѾÓÐ3È˻ظ´
AÇøÏß²ÄÁÏѧµ÷¼Á
ÒѾÓÐ5È˻ظ´
²ÄÁÏѧ˶297ÒѹýËÄÁù¼¶Çóµ÷¼ÁÍÆ¼ö
ÒѾÓÐ11È˻ظ´
316Çóµ÷¼Á
ÒѾÓÐ5È˻ظ´
Ò»Ö¾Ô¸Î÷ÄϽ»Í¨ ר˶ ²ÄÁÏ355 ±¾¿ÆË«·Ç Çóµ÷¼Á
ÒѾÓÐ5È˻ظ´
Ò»Ö¾Ô¸Î人Àí¹¤²ÄÁϹ¤³Ìר˶µ÷¼Á
ÒѾÓÐ8È˻ظ´
329Çóµ÷¼Á
ÒѾÓÐ8È˻ظ´
xiakong
ľ³æ (ÕýʽдÊÖ)
- Ó¦Öú: 0 (Ó×¶ùÔ°)
- ½ð±Ò: 4501.8
- Ìû×Ó: 691
- ÔÚÏß: 21.6Сʱ
- ³æºÅ: 3896751
- ×¢²á: 2015-05-28
- ÐÔ±ð: GG
- רҵ: ƫ΢·Ö·½³Ì
2Â¥2016-12-08 16:28:07
ËÕ¹«×Ó
гæ (СÓÐÃûÆø)
- Ó¦Öú: 1 (Ó×¶ùÔ°)
- ½ð±Ò: 627.4
- ºì»¨: 3
- Ìû×Ó: 140
- ÔÚÏß: 46.4Сʱ
- ³æºÅ: 2641753
- ×¢²á: 2013-09-08
- רҵ: Á¦Ñ§ÖеĻù±¾ÎÊÌâºÍ·½·¨
3Â¥2016-12-08 16:39:07













»Ø¸´´ËÂ¥