| 查看: 2575 | 回复: 14 | ||
[求助]
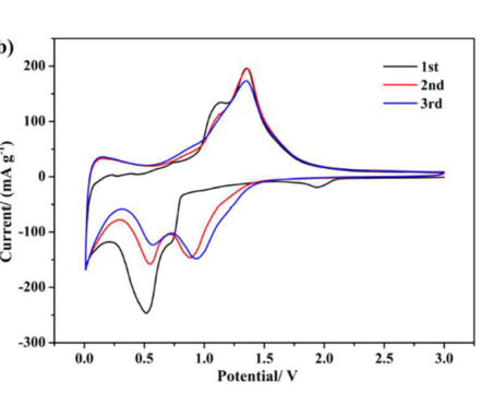
关于锂离子负极材料CV测试,氧化还原峰出现分裂的现象 已有5人参与
|
||
|
|
||
| 回帖支持 ( 显示支持度最高的前 50 名 ) | ||
NanoFace至尊木虫 (著名写手)
|
» 本帖已获得的红花(最新10朵) |
|
![]() |
||
|
11楼2016-12-12 04:09:12
|
|
|
| 普通回帖 | ||
|
2楼2016-12-07 18:20:45
|
|
|
|
3楼2016-12-07 18:33:07
|
|
|
xinghuaxiang金虫 (正式写手)
|
||
![]() |
||
|
4楼2016-12-07 20:11:23
|
|
|
101°C金虫 (小有名气)
|
||
|
5楼2016-12-07 23:24:52
|
|
|
zhang1220yu金虫 (著名写手)
|
||
![]() |
||
|
6楼2016-12-07 23:33:12
|
|
|
|
||
|
7楼2016-12-08 02:17:05
|
|
|
|
8楼2016-12-08 14:43:17
|
|
|
apollo5206木虫 (小有名气)
|
||
|
9楼2016-12-08 17:18:16
|
|
|
|
||
|
10楼2016-12-12 02:34:38
|
|
|














回复此楼
wkandsj