| 查看: 365 | 回复: 0 | ||
[求助]
关于贝塞尔方程的一个问题,求大神指点江山
|
|
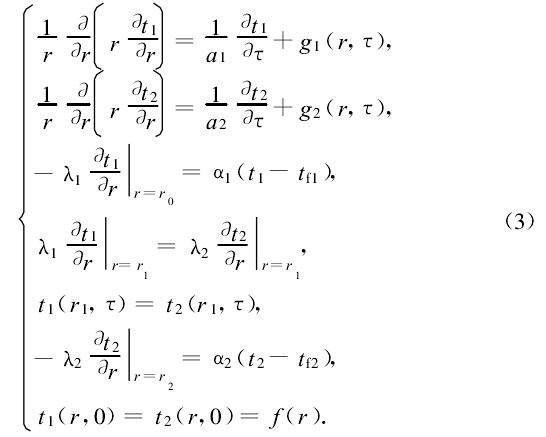
最近看一篇文献,关于一个偏微分方程组求解的,文献中先把偏微分方程拉式变换,变为了贝塞尔方程,求出其通解后再数值反演。有好多疑惑,数学高手帮看看,谢谢了。 (1)原方程拉式变换变为方程4、5,我感觉有问题吧,依据求导后的拉式变换公式,是不是T1、T2前面有个s呀? (2)另外方程4和5是贝塞尔方程吗,怎么和标准型对应起来呢,这个文献中得到的通解是对的吗? 谢谢大家帮助啊 ![]() 1.JPG 2.JPG |
» 猜你喜欢
有院领导为了换新车,用横向课题经费买了俩车
已经有9人回复
酰胺脱乙酰基
已经有13人回复
博士延得我,科研能力直往上蹿
已经有8人回复
同年申请2项不同项目,第1个项目里不写第2个项目的信息,可以吗
已经有4人回复
有时候真觉得大城市人没有县城人甚至个体户幸福
已经有10人回复
天津大学招2026.09的博士生,欢迎大家推荐交流(博导是本人)
已经有5人回复
CSC & MSCA 博洛尼亚大学能源材料课题组博士/博士后招生|MSCA经费充足、排名优
已经有6人回复
面上项目申报
已经有3人回复
遇见不省心的家人很难过
已经有22人回复














回复此楼