版块导航
正在加载中...
客户端APP下载
登录
注册
帖子
帖子
用户
本版
应《网络安全法》要求,自2017年10月1日起,未进行实名认证将不得使用互联网跟帖服务。为保障您的帐号能够正常使用,请尽快对帐号进行手机号验证,感谢您的理解与支持!
24小时热门版块排行榜
>
论坛更新日志
(3569)
>
虫友互识
(509)
>
文献求助
(420)
>
导师招生
(246)
>
休闲灌水
(170)
>
论文投稿
(153)
>
仿真模拟
(149)
>
考博
(138)
>
硕博家园
(87)
>
招聘信息布告栏
(72)
>
基金申请
(66)
>
博后之家
(54)
>
教师之家
(51)
>
找工作
(40)
>
绿色求助(高悬赏)
(37)
>
公派出国
(34)
小木虫论坛-学术科研互动平台
»
化学化工区
»
无机/物化
»
物理化学
»
电化学题,请教
15
1/2
返回列表
1
2
下一页
查看: 1028 | 回复: 14
只看楼主
@他人
存档
新回复提醒
(忽略)
收藏
在APP中查看
songzhudong
新虫
(正式写手)
应助: 18
(小学生)
金币: 497.7
散金: 432
红花: 2
帖子: 725
在线: 156.1小时
虫号: 3519152
注册: 2014-11-04
性别: GG
专业: 无机纳米化学
[
求助
]
电化学题,请教
已有1人参与
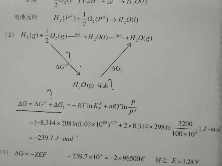
如图,第二问,怎么个情况。。懵了。设计路线都不会设计了。请教大家了。
发自小木虫Android客户端
回复此楼
» 猜你喜欢
湖南工业大学周贵寅组招生物医学工程(学硕07、08都行)和生物与医药(专硕08)硕士生
已经有0人回复
考研求调剂
已经有0人回复
有机高分子材料论文润色/翻译怎么收费?
已经有205人回复
2026年中南民族大学化学与材料科学学院调剂公告
已经有40人回复
武汉纺织大学招生物材料、化学、高分子相关专业硕士生
已经有0人回复
武汉纺织大学招生物材料、化学、高分子相关专业硕士生-另有少量士兵计划可咨询
已经有0人回复
[武汉纺织大学]材料学院[姜伟团队名称]课题组-2026年硕士研究生调剂信息
已经有0人回复
中国科学院·过程工程研究所·招聘海内外高层次人才---过程所“百人计划”
已经有1人回复
中国科学院·过程工程研究所·招聘海内外高层次人才---过程所“百人计划”
已经有5人回复
2026考博自荐
已经有4人回复
温敏水凝胶收缩
已经有0人回复
» 本主题相关价值贴推荐,对您同样有帮助:
请问,分子动力学可以模拟电化学反应吗?
已经有0人回复
溶液中电极再通电状况下会发生电化学腐蚀,如何防止电化学腐蚀的发生??
已经有1人回复
请教:铅酸蓄电池充电器,镍镉蓄电池,这个组合可以使用吗?
已经有5人回复
液晶与电化学,荧光等的关系
已经有2人回复
除了环氧树脂还有其他快速凝固而又不影响腐蚀电化学测试的冷镶材料吗?
已经有10人回复
电化学工作站测试正极材料电导率
已经有4人回复
求教一题关于电化学氧化还原的考研题目
已经有8人回复
用电化学工作站测CV曲线时有气泡冒出是怎么回事
已经有2人回复
请教薄膜密度与孔隙率的关系,以及电化学测试孔隙率的方法
已经有9人回复
考研想走物理化学的电化学方向,请教考什么学校好?
已经有14人回复
请教一道物化电化学部分的题 大神看过来。。
已经有9人回复
AD5933测电化学阻抗谱 做colecole图拟合,不是虚部有最大值
已经有3人回复
实验室里的电化学发光电极损坏了,请教哪里可以买到新的,或是二手的!!!
已经有0人回复
请问各位电化学牛人,Electrochimica acta这个杂志有模板吗
已经有6人回复
有做电化学传感器的虫友没?
已经有3人回复
锂电正极材料,测试表征中就差电化学性能,可以投什么期刊(国内外)
已经有6人回复
请教 2011年 电化学相关的国际会议 地点在国外 有哪些?
已经有3人回复
【求助】请教一个铁锂材料电化学性能测试的问题
已经有8人回复
【求助】请教下大家,为什么我在玻碳上镀PEDOT总是不均匀呢?
已经有5人回复
撒大时代
1楼
2016-12-04 22:47:27
已阅
回复此楼
关注TA
给TA发消息
送TA红花
TA的回帖
回帖支持 ( 显示支持度最高的前 50 名 )
谷中明
至尊木虫
(著名写手)
ICEPI: 19
应助: 1264
(讲师)
贵宾: 0.482
金币: 24134.7
红花: 182
帖子: 2913
在线: 1911.3小时
虫号: 1883403
注册: 2012-07-08
性别: GG
专业: 热力学
【答案】应助回帖
引用回帖:
3楼
:
Originally posted by
songzhudong
at 2016-12-04 23:34:01
还是不太懂谷老师。。还有就是你看下这个答案,是不是有错。看不懂
...
对的。我忘了调整水蒸气的压力了。应该是三个变化:
2 H2(p° g)+O2(p° g)=2H2O(p° g)
H2O(p° g)= H2O(3200Pa g)
H2O(3200Pa g)=H2O(aq,0.01mol/kg的H2SO4)
赞
一下
(1人)
回复此楼
4楼
2016-12-04 23:41:48
已阅
回复此楼
关注TA
给TA发消息
送TA红花
TA的回帖
普通回帖
谷中明
至尊木虫
(著名写手)
ICEPI: 19
应助: 1264
(讲师)
贵宾: 0.482
金币: 24134.7
红花: 182
帖子: 2913
在线: 1911.3小时
虫号: 1883403
注册: 2012-07-08
性别: GG
专业: 热力学
【答案】应助回帖
★ ★ ★ ★ ★ ★ ★ ★ ★ ★ ★ ★ ★ ★ ★ ★ ★ ★ ★ ★
感谢参与,应助指数 +1
songzhudong: 金币+20,
★★★★★
最佳答案, 谢谢谷老师,忙到这么晚
2016-12-05 00:04:00
2个反应叠加后就是电池反应的表达式
2 H2(g)+O2(g)=2H2O(g)
H2O(g)=H2O(aq,0.01mol/kg的H2SO4)
赞
一下
回复此楼
2楼
2016-12-04 22:57:09
已阅
回复此楼
关注TA
给TA发消息
送TA红花
TA的回帖
songzhudong
新虫
(正式写手)
应助: 18
(小学生)
金币: 497.7
散金: 432
红花: 2
帖子: 725
在线: 156.1小时
虫号: 3519152
注册: 2014-11-04
性别: GG
专业: 无机纳米化学
引用回帖:
2楼
:
Originally posted by
谷中明
at 2016-12-04 22:57:09
2个反应叠加后就是电池反应的表达式
2 H2(g)+O2(g)=2H2O(g)
H2O(g)=H2O(aq,0.01mol/kg的H2SO4)
还是不太懂谷老师。。还有就是你看下这个答案,是不是有错。看不懂
发自小木虫Android客户端
赞
一下
回复此楼
撒大时代
3楼
2016-12-04 23:34:01
已阅
回复此楼
关注TA
给TA发消息
送TA红花
TA的回帖
songzhudong
新虫
(正式写手)
应助: 18
(小学生)
金币: 497.7
散金: 432
红花: 2
帖子: 725
在线: 156.1小时
虫号: 3519152
注册: 2014-11-04
性别: GG
专业: 无机纳米化学
引用回帖:
4楼
:
Originally posted by
谷中明
at 2016-12-04 23:41:48
对的。我忘了调整水蒸气的压力了。应该是三个变化:
2 H2(p° g)+O2(p° g)=2H2O(p° g)
H2O(p° g)= H2O(3200Pa g)
H2O(3200Pa g) ...
那他这ΔG2怎么设出来又不用,这个水气体压力是指3200吗?
发自小木虫Android客户端
赞
一下
回复此楼
撒大时代
5楼
2016-12-04 23:50:47
已阅
回复此楼
关注TA
给TA发消息
送TA红花
TA的回帖
谷中明
至尊木虫
(著名写手)
ICEPI: 19
应助: 1264
(讲师)
贵宾: 0.482
金币: 24134.7
红花: 182
帖子: 2913
在线: 1911.3小时
虫号: 1883403
注册: 2012-07-08
性别: GG
专业: 热力学
解题中算的就是△G2,
发自小木虫Android客户端
赞
一下
回复此楼
» 本帖已获得的红花(最新10朵)
songzhudong
6楼
2016-12-04 23:58:34
已阅
回复此楼
关注TA
给TA发消息
送TA红花
TA的回帖
songzhudong
新虫
(正式写手)
应助: 18
(小学生)
金币: 497.7
散金: 432
红花: 2
帖子: 725
在线: 156.1小时
虫号: 3519152
注册: 2014-11-04
性别: GG
专业: 无机纳米化学
送红花一朵
引用回帖:
6楼
:
Originally posted by
谷中明
at 2016-12-04 23:58:34
解题中算的就是△G2,
嗯嗯明白了,谢谢你谷老师。另外再多问你个题,你看图,这两个标准平衡的区别
发自小木虫Android客户端
赞
一下
回复此楼
撒大时代
7楼
2016-12-05 00:01:49
已阅
回复此楼
关注TA
给TA发消息
送TA红花
TA的回帖
谷中明
至尊木虫
(著名写手)
ICEPI: 19
应助: 1264
(讲师)
贵宾: 0.482
金币: 24134.7
红花: 182
帖子: 2913
在线: 1911.3小时
虫号: 1883403
注册: 2012-07-08
性别: GG
专业: 热力学
是的,水蒸汽压力就是3200Pa。
发自小木虫Android客户端
赞
一下
回复此楼
8楼
2016-12-05 00:01:50
已阅
回复此楼
关注TA
给TA发消息
送TA红花
TA的回帖
谷中明
至尊木虫
(著名写手)
ICEPI: 19
应助: 1264
(讲师)
贵宾: 0.482
金币: 24134.7
红花: 182
帖子: 2913
在线: 1911.3小时
虫号: 1883403
注册: 2012-07-08
性别: GG
专业: 热力学
★
冰点降温: 金币+1, 谢谢专家解答,辛苦了。
2016-12-05 09:48:04
引用回帖:
7楼
:
Originally posted by
songzhudong
at 2016-12-05 00:01:49
嗯嗯明白了,谢谢你谷老师。另外再多问你个题,你看图,这两个标准平衡的区别
...
对于理想气体反应体系,K(标)=Kp〈标)
发自小木虫Android客户端
赞
一下
回复此楼
» 本帖已获得的红花(最新10朵)
songzhudong
9楼
2016-12-05 00:04:27
已阅
回复此楼
关注TA
给TA发消息
送TA红花
TA的回帖
songzhudong
新虫
(正式写手)
应助: 18
(小学生)
金币: 497.7
散金: 432
红花: 2
帖子: 725
在线: 156.1小时
虫号: 3519152
注册: 2014-11-04
性别: GG
专业: 无机纳米化学
引用回帖:
9楼
:
Originally posted by
谷中明
at 2016-12-05 00:04:27
对于理想气体反应体系,K(标)=Kp〈标)
...
那3200Pa不的除以100kpa的标准气体常数?
发自小木虫Android客户端
赞
一下
回复此楼
撒大时代
10楼
2016-12-05 00:09:45
已阅
回复此楼
关注TA
给TA发消息
送TA红花
TA的回帖
相关版块跳转
有机交流
有机资源
高分子
无机/物化
分析
催化
工艺技术
化工设备
石油化工
精细化工
电化学
环境
SciFinder/Reaxys
我要订阅楼主
songzhudong
的主题更新
15
1/2
返回列表
1
2
下一页
如果回帖内容含有宣传信息,请如实选中。否则帐号将被全论坛禁言
普通表情
龙
兔
虎
猫
百度网盘
|
360云盘
|
千易网盘
|
华为网盘
在新窗口页面中打开自己喜欢的网盘网站,将文件上传后,然后将下载链接复制到帖子内容中就可以了。
信息提示
关闭
请填处理意见
关闭
确定