| ²é¿´: 1116 | »Ø¸´: 1 | ||
fyp1834280гæ (³õÈëÎÄ̳)
|
[ÇóÖú]
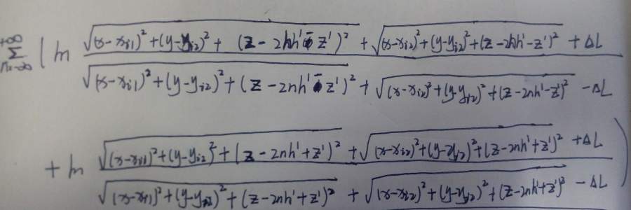
±´Èû¶û¹«Ê½
|
|
ÇëÎÊÕâ¸ö¹«Ê½ÔõôÀ´µÄ£¿×îºóÃæµÄʽ×ÓÈçºÎ»¯¼òÄØ£¿ P61204-155823.jpg P61204-155842.jpg P61204-160701.jpg |
» ²ÂÄãϲ»¶
310Çóµ÷¼Á
ÒѾÓÐ12È˻ظ´
290Çóµ÷¼Á
ÒѾÓÐ7È˻ظ´
µçÆø×¨Ë¶320Çóµ÷¼Á
ÒѾÓÐ5È˻ظ´
Ò»Ö¾Ô¸Î÷±±¹¤Òµ´óѧ289 085602
ÒѾÓÐ33È˻ظ´
Ò»Ö¾Ô¸¹þ¹¤´ó 085600 277 12²Ä¿Æ»ùÇóµ÷¼Á
ÒѾÓÐ24È˻ظ´
268·Ö085602»¯Ñ§¹¤³Ìµ÷¼Á
ÒѾÓÐ28È˻ظ´
»¯Ñ§¹¤³Ìµ÷¼Á289
ÒѾÓÐ50È˻ظ´
Çóµ÷¼Á£¬262»úеר˶
ÒѾÓÐ8È˻ظ´
305Çóµ÷¼Á
ÒѾÓÐ6È˻ظ´
327Çóµ÷¼Á
ÒѾÓÐ5È˻ظ´
±¿µ°µÄÀÖÔ°
гæ (ÖøÃûдÊÖ)
- Ó¦Öú: 0 (Ó×¶ùÔ°)
- ½ð±Ò: 2706.9
- É¢½ð: 3729
- ºì»¨: 13
- ɳ·¢: 4
- Ìû×Ó: 1981
- ÔÚÏß: 205.2Сʱ
- ³æºÅ: 4943825
- ×¢²á: 2016-08-25
- ÐÔ±ð: GG
- רҵ: ½ðÊôÓë·Ç½ðÊôµØÏ¿ª²É
2Â¥2018-01-14 01:13:49













»Ø¸´´ËÂ¥