| 查看: 2560 | 回复: 4 | |||
[求助]
【求助】流变仪测水凝胶凝胶转变点 已有3人参与
|
|
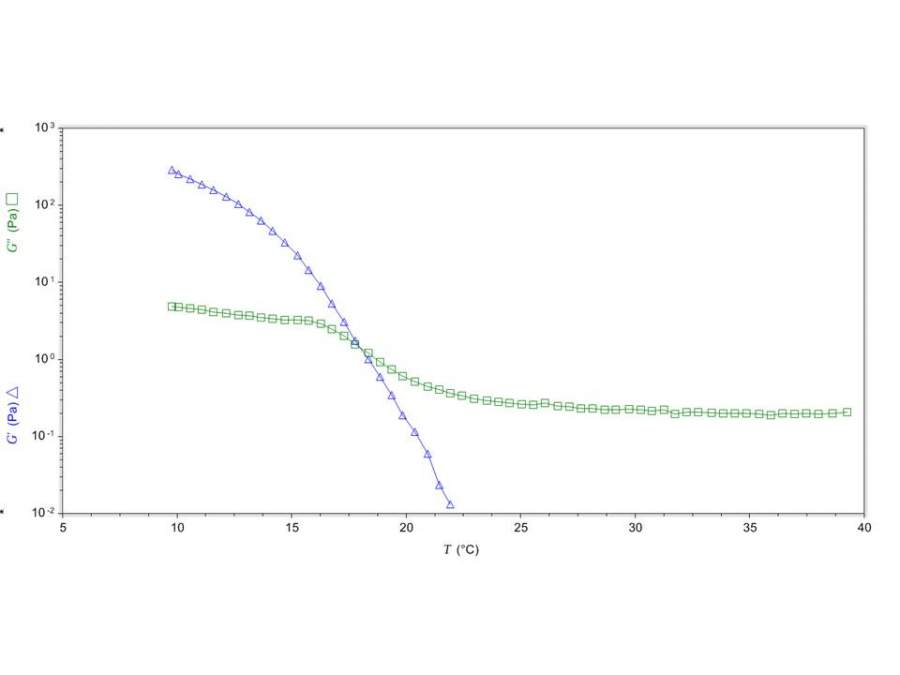
想测一种水凝胶的凝胶点,已经采用过降温过程测模量交点方法,但是数据不太好,降温开始的一段温度要么收集不到数据,要么就是储能模量G\'高于损耗模量G\'\'、要么就是有很多断点,请帮忙分析一下原因。另外,想请教一下各位虫友用流变仪还有什么方法可以测出水凝胶的凝胶转变点,使用的流变仪是TA的DHR-2。有流变大神在吗?求指教 幻灯片1.JPG 幻灯片2.JPG 幻灯片3.JPG |
» 猜你喜欢
306求调剂
已经有8人回复
招08考数学
已经有12人回复
接收2026硕士调剂(学硕+专硕)
已经有4人回复
北科281学硕材料求调剂
已经有9人回复
306求0703调剂一志愿华中师范
已经有6人回复
276求调剂。有半年电池和半年高分子实习经历
已经有8人回复
材料与化工考研调剂
已经有3人回复
081700 调剂 267分
已经有3人回复
一志愿重庆大学085700资源与环境,总分308求调剂
已经有3人回复
336化工调剂
已经有4人回复
bionics
专家顾问 (职业作家)
-

专家经验: +1523 - 应助: 1029 (博后)
- 贵宾: 0.497
- 金币: 27180.9
- 散金: 295
- 红花: 328
- 帖子: 3680
- 在线: 657.8小时
- 虫号: 531163
- 注册: 2008-03-23
- 专业: 有机高分子材料
- 管辖: 高分子

2楼2016-12-01 18:44:46
3楼2016-12-03 11:10:51
ljs9061
金虫 (正式写手)
- 应助: 7 (幼儿园)
- 金币: 1046.6
- 散金: 200
- 红花: 4
- 帖子: 433
- 在线: 335.7小时
- 虫号: 1424566
- 注册: 2011-10-01
- 性别: GG
- 专业: 纤维
4楼2016-12-03 18:07:23
runnyman
木虫 (正式写手)
- 应助: 10 (幼儿园)
- 金币: 3562.9
- 红花: 16
- 帖子: 478
- 在线: 73.9小时
- 虫号: 321466
- 注册: 2007-03-10
- 性别: GG
- 专业: 高分子材料结构与性能
【答案】应助回帖
|
可能的原因,夹具太小,且没有才采用变应变控制。选择合适的夹具并优化一测试条件就可以了。 把你测试的原始文件(扩展名tri)发送chinasupport@tainstruments.com,会有人帮你优化条件的 |
5楼2016-12-09 12:19:54













回复此楼