| 查看: 525 | 回复: 1 | |||
[求助]
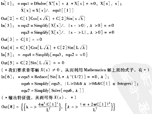
mathematica小问题 已有1人参与
|
|||
|
|
|||
Mr__Right专家顾问 (著名写手)
|
|||
![]() |
|||
|
2楼2016-12-01 07:46:33
|
|













回复此楼

50