24小时热门版块排行榜    

查看: 865  |  回复: 0

杲杲ray

新虫 (初入文坛)

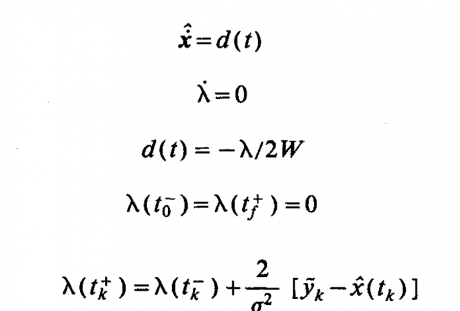
[求助] 模型误差最小化MME中TPBVP求解

请问大神,关于模型误差最小化MME中TPBVP求解协变量时,协变量更新公式的右边加号和减号表示什么意思啊,怎么求?

模型误差最小化MME中TPBVP求解
1.png
回复此楼
已阅   回复此楼   关注TA 给TA发消息 送TA红花 TA的回帖
相关版块跳转 我要订阅楼主 杲杲ray 的主题更新
最具人气热帖推荐 [查看全部] 作者 回/看 最后发表
[考博] 售SCI一区文章,我:8 O5 51O 54,科目齐全 +5 2h7du0nuhk 2026-02-07 6/300 2026-02-08 08:12 by vs90ilomwc
[硕博家园] 售SCI一区文章,我:8 O5 51O 54,科目齐全 +4 2h7du0nuhk 2026-02-07 6/300 2026-02-08 08:07 by vs90ilomwc
[考博] 售SCI一区文章,我:8 O5 51O 54,科目齐全 +4 2h7du0nuhk 2026-02-07 7/350 2026-02-08 08:06 by vs90ilomwc
[教师之家] 售SCI一区文章,我:8 O5 51O 54,科目齐全 +4 2h7du0nuhk 2026-02-07 7/350 2026-02-08 07:52 by vs90ilomwc
[公派出国] 售SCI一区文章,我:8 O5 51O 54,科目齐全 +4 2h7du0nuhk 2026-02-07 8/400 2026-02-08 07:32 by vs90ilomwc
[考博] 售SCI一区文章,我:8 O5 51O 54,科目齐全 +4 2h7du0nuhk 2026-02-07 8/400 2026-02-08 07:27 by vs90ilomwc
[教师之家] 售SCI一区文章,我:8 O5 51O 54,科目齐全 +4 2h7du0nuhk 2026-02-07 8/400 2026-02-08 07:26 by vs90ilomwc
[硕博家园] 售SCI一区文章,我:8 O5 51O 54,科目齐全 +4 2h7du0nuhk 2026-02-07 8/400 2026-02-08 07:07 by vs90ilomwc
[硕博家园] 博士延得我,科研能力直往上蹿 +8 偏振片 2026-02-02 8/400 2026-02-08 06:52 by liyeqik
[公派出国] 售SCI一区文章,我:8 O5 51O 54,科目齐全 +3 5lbyq5wrhb 2026-02-07 3/150 2026-02-08 03:05 by vs90ilomwc
[考博] 售SCI一区文章,我:8 O5 51O 54,科目齐全 +3 5lbyq5wrhb 2026-02-07 3/150 2026-02-08 02:52 by vs90ilomwc
[论文投稿] 售SCI一区文章,我:8 O5 51O 54,科目齐全 +3 3rkserf6qr 2026-02-07 4/200 2026-02-08 02:45 by vs90ilomwc
[硕博家园] 售SCI一区文章,我:8 O5 51O 54,科目齐全 +3 3rkserf6qr 2026-02-07 3/150 2026-02-08 02:32 by vs90ilomwc
[硕博家园] 售SCI一区文章,我:8 O5 51O 54,科目齐全 +5 2h7du0nuhk 2026-02-07 5/250 2026-02-08 02:27 by vs90ilomwc
[有机交流] 酰胺脱乙酰基 10+5 chibby 2026-02-03 12/600 2026-02-07 19:29 by 江东闲人
[基金申请] 有时候真觉得大城市人没有县城人甚至个体户幸福 +9 苏东坡二世 2026-02-04 10/500 2026-02-07 12:37 by 小毛球
[考博] 天津大学招2026.09的博士生,欢迎大家推荐交流(博导是本人) +4 a793625982 2026-02-05 5/250 2026-02-07 10:57 by a793625982
[公派出国] CSC & MSCA 博洛尼亚大学能源材料课题组博士/博士后招生|MSCA经费充足、排名优 +4 雨念 2026-02-01 6/300 2026-02-06 23:32 by MelissaPon
[基金申请] 面上项目申报 +3 Tide man 2026-02-01 3/150 2026-02-05 22:56 by god_tian
[教师之家] 遇见不省心的家人很难过 +18 otani 2026-02-03 22/1100 2026-02-04 11:06 by tangmnt
信息提示
请填处理意见