| 查看: 851 | 回复: 7 | ||
[求助]
习题求助,帮忙看看下面两道题呗 5和6 已有2人参与
|
|
习题求助,帮忙看看下面两道题呗 5和6 发自小木虫Android客户端 |
» 猜你喜欢
武汉纺织大学-材料科学与工程学院-姜伟杰青团队-招生物方向调剂
已经有0人回复
武汉纺织大学-材料科学与工程学院-招 生物方向 硕士!
已经有0人回复
有机高分子材料论文润色/翻译怎么收费?
已经有181人回复
武汉纺织大学-材料科学与工程学院-姜伟杰青团队-招生物方向调剂
已经有0人回复
[武汉纺织大学]材料学院[姜伟团队名称]课题组-2026年硕士研究生调剂信息
已经有0人回复
武汉纺织大学-材料科学与工程学院-姜伟杰青团队-招调剂
已经有0人回复
生物医学材料前沿科普:低密度、高孔隙率的“多孔微球”核心技术与应用全景
已经有1人回复
湖南工业大学周贵寅组招生物医学工程(学硕07、08都行)、生物与医药(专硕08)硕士生
已经有0人回复
湖南工业大学周贵寅组招生物医学工程(学硕07、08都行)和生物与医药(专硕08)硕士生
已经有0人回复
考研求调剂
已经有0人回复
2026年中南民族大学化学与材料科学学院调剂公告
已经有23人回复
★ ★
感谢参与,应助指数 +1
fatewu: 金币+2, 应助指数-1, 屏蔽内容, 层主要求,不过辛苦了,欢迎常来交流~ 2017-09-29 15:00:43
感谢参与,应助指数 +1
fatewu: 金币+2, 应助指数-1, 屏蔽内容, 层主要求,不过辛苦了,欢迎常来交流~ 2017-09-29 15:00:43
|
本帖内容被屏蔽 |
2楼2016-11-27 18:36:11
甄士隐207
木虫之王 (文学泰斗)
- ICEPI: 6
- 应助: 959 (博后)
- 贵宾: 0.369
- 金币: 95916.1
- 散金: 8136
- 红花: 222
- 沙发: 6157
- 帖子: 60782
- 在线: 4195.9小时
- 虫号: 2803014
- 注册: 2013-11-15
- 专业: 史学史
【答案】应助回帖
★
感谢参与,应助指数 +1
冰点降温: 金币+1, 谢谢回帖,欢迎常来无机物化版块。 2016-11-28 09:29:00
感谢参与,应助指数 +1
冰点降温: 金币+1, 谢谢回帖,欢迎常来无机物化版块。 2016-11-28 09:29:00
|
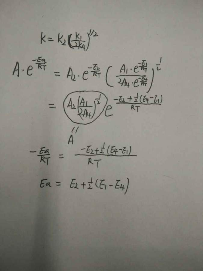
6根据阿伦呢乌斯公式可推倒。 发自小木虫Android客户端 |
3楼2016-11-27 18:37:10
xm小巫
木虫 (小有名气)
- 应助: 2 (幼儿园)
- 金币: 1568.7
- 红花: 5
- 帖子: 167
- 在线: 109小时
- 虫号: 3551389
- 注册: 2014-11-21
- 性别: MM
- 专业: 有机合成
【答案】应助回帖
★ ★ ★ ★ ★ ★
冰点降温: 金币+1, 应助指数+1, 谢谢回帖,欢迎常来无机物化版块。 2016-11-28 09:29:41
雨滴12030(冰点降温代发): 金币+5 2016-11-28 09:29:47
冰点降温: 金币+1, 应助指数+1, 谢谢回帖,欢迎常来无机物化版块。 2016-11-28 09:29:41
雨滴12030(冰点降温代发): 金币+5 2016-11-28 09:29:47
» 本帖已获得的红花(最新10朵)
4楼2016-11-27 20:03:50
5楼2016-11-28 16:22:40
6楼2016-11-28 16:22:54
7楼2016-11-28 16:23:18
甄士隐207
木虫之王 (文学泰斗)
- ICEPI: 6
- 应助: 959 (博后)
- 贵宾: 0.369
- 金币: 95916.1
- 散金: 8136
- 红花: 222
- 沙发: 6157
- 帖子: 60782
- 在线: 4195.9小时
- 虫号: 2803014
- 注册: 2013-11-15
- 专业: 史学史
【答案】应助回帖
★ ★ ★ ★ ★
雨滴12030(冰点降温代发): 金币+5 2016-11-29 09:57:54
雨滴12030(冰点降温代发): 金币+5 2016-11-29 09:57:54
|
自由基反应碰撞频率肯定最大啦。再根据位阻效应判断2.3的大小,在能引发反应的化学键附近有较大的原子团,会减少这个键与其他分子碰撞的机会。 发自小木虫Android客户端 |
8楼2016-11-28 16:44:45














回复此楼
雨滴12030