| ²é¿´: 2305 | »Ø¸´: 2 | |
yezhonghua09½ð³æ (ÕýʽдÊÖ)
|
[ÇóÖú]
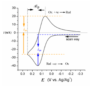
ÓлúÎïCVÇúÏßµÄÑõ»¯»¹Ô¿ÉÄæÌØÐԺͲÄÁÏÎȶ¨ÐÔºÍÁ¿×Ó»¯Ñ§Ä£Äâ¼ÆËãµÄ¹ØÏµ
|
|
|
|
panghuishaгæ (³õÈëÎÄ̳)
|
|
|
2Â¥2016-12-08 10:59:43
|
|
youth0001гæ (СÓÐÃûÆø)
|
|
|
3Â¥2016-12-09 00:08:51
|
|














»Ø¸´´ËÂ¥