| 查看: 337 | 回复: 1 | |||
[交流]
建模去噪中关于标准差的问题,求大神帮忙啊
|
|
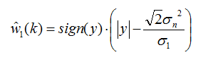
我在用建模去噪的时候,MAP估计公式给出够,如图所示。但当那个标准差σ1=0的时候,MAP估计里面就会出现分母为0的情况。请问这个问题该怎么解决呢。标准差σ1是用图2计算公式得出了,如图所示。 1.png 2.png 3.png |
» 猜你喜欢
售SCI一区文章,我:8 O5 51O 54,科目齐全,可+急
已经有3人回复
售SCI一区文章,我:8 O5 51O 54,科目齐全,可+急
已经有3人回复
售SCI一区文章,我:8 O5 51O 54,科目齐全,可+急
已经有3人回复
售SCI一区文章,我:8 O5 51O 54,科目齐全,可+急
已经有3人回复
基金正文30页指的是报告正文还是整个申请书
已经有4人回复
今年春晚有几个节目很不错,点赞!
已经有6人回复
球磨粉体时遇到了大的问题,请指教!
已经有15人回复
过年走亲戚时感受到了所开私家车的鄙视链
已经有5人回复
情人节自我反思:在爱情中有过遗憾吗?
已经有5人回复
江汉大学解明教授课题组招博士研究生/博士后
已经有3人回复
2楼2016-11-23 17:17:02













回复此楼