| 查看: 303 | 回复: 1 | |
[求助]
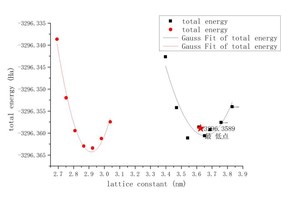
实验测定的晶格结构与计算的晶格结构的差别 已有1人参与
|
|
|
|
|
729267452lgl至尊木虫 (正式写手)
|
|
|
2楼2016-11-22 21:44:20
|
|













回复此楼