| 查看: 420 | 回复: 0 | ||
阳明sir金虫 (正式写手)
|
[求助]
如何从DRS图谱中观察两种物质缺陷的变化
|
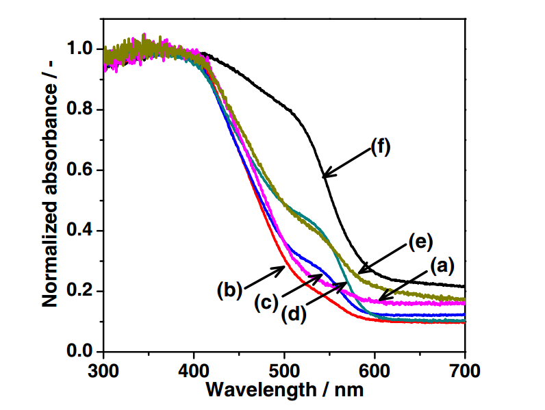
最近看到文献上说,有些半导体和其他半导体复合后,可以从DRS图谱中看出其缺陷会减少,,如图,文中说,b,c,d中的缺陷相较于a是减少的,这是怎么看出来的,有什么依据吗?![]() VA8548X9{%@FW(J_MDXVVW7.png |
» 猜你喜欢
依托企业入选了国家启明计划青年人才。有无高校可以引进的。
已经有9人回复
有时候真觉得大城市人没有县城人甚至个体户幸福
已经有11人回复
表哥与省会女结婚,父母去帮带孩子被省会女气回家生重病了
已经有7人回复
同年申请2项不同项目,第1个项目里不写第2个项目的信息,可以吗
已经有8人回复
依托企业入选了国家启明计划青年人才。有无高校可以引进的。
已经有10人回复
天津大学招2026.09的博士生,欢迎大家推荐交流(博导是本人)
已经有9人回复
有院领导为了换新车,用横向课题经费买了俩车
已经有10人回复
AI 太可怕了,写基金时,提出想法,直接生成的文字比自己想得深远,还有科学性
已经有6人回复














回复此楼