| 查看: 713 | 回复: 0 | ||
[求助]
关于混凝土中的相/元素分布表征
|
|
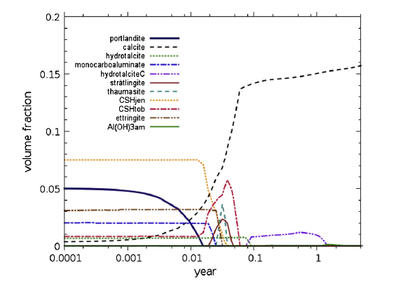
在本人的实验中,混凝土试样(Φ30*50)的一侧收到NaHCO3溶液作用,欲表征作用后各重要相/重要元素(Ca, Mg等)在试样中的分布情况。 本想采用EDS线分析,无奈现在所用SEM样品仓不足以容纳Φ30*50的试样,暂时没有想到可行的表征方法。 请问各位同行和大神们,推荐使用什么表征方法? 以下是一通过计算模拟得出的相分布情况,欲通过实验验证: |
» 猜你喜欢
请问哪里可以有青B申请的本子可以借鉴一下。
已经有4人回复
真诚求助:手里的省社科项目结项要求主持人一篇中文核心,有什么渠道能发核心吗
已经有6人回复
孩子确诊有中度注意力缺陷
已经有14人回复
三甲基碘化亚砜的氧化反应
已经有4人回复
请问下大家为什么这个铃木偶联几乎不反应呢
已经有5人回复
请问有评职称,把科研教学业绩算分排序的高校吗
已经有5人回复
2025冷门绝学什么时候出结果
已经有3人回复
天津工业大学郑柳春团队欢迎化学化工、高分子化学或有机合成方向的博士生和硕士生加入
已经有4人回复
康复大学泰山学者周祺惠团队招收博士研究生
已经有6人回复
AI论文写作工具:是科研加速器还是学术作弊器?
已经有3人回复













回复此楼