| 查看: 2465 | 回复: 8 | |||
[交流]
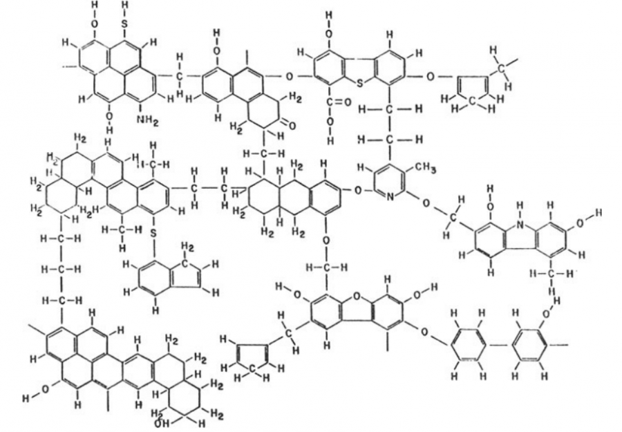
这样的分子模型怎么样在MS里面去画出来 已有2人参与
|
赵红霞
铁杆木虫 (著名写手)
- 应助: 73 (初中生)
- 金币: 6131.9
- 散金: 141
- 红花: 33
- 帖子: 1541
- 在线: 700.9小时
- 虫号: 1544094
- 注册: 2011-12-20
- 性别: MM
- 专业: 理论和计算化学
2楼2016-11-21 14:04:58
3楼2016-11-21 14:28:12
赵红霞
铁杆木虫 (著名写手)
- 应助: 73 (初中生)
- 金币: 6131.9
- 散金: 141
- 红花: 33
- 帖子: 1541
- 在线: 700.9小时
- 虫号: 1544094
- 注册: 2011-12-20
- 性别: MM
- 专业: 理论和计算化学
4楼2016-11-22 09:05:09
pigrass
专家顾问 (著名写手)
伊卡斯特的小猪
-

专家经验: +503 - 模拟EPI: 4
- 应助: 377 (硕士)
- 金币: 10371
- 散金: 3286
- 红花: 166
- 帖子: 2101
- 在线: 1968.4小时
- 虫号: 1463681
- 注册: 2011-10-27
- 性别: GG
- 专业: 高分子材料结构与性能
- 管辖: 分子模拟

5楼2016-11-22 09:40:01
6楼2016-11-23 13:19:34
7楼2016-11-23 13:20:22
8楼2016-11-25 15:09:38
pigrass
专家顾问 (著名写手)
伊卡斯特的小猪
-

专家经验: +503 - 模拟EPI: 4
- 应助: 377 (硕士)
- 金币: 10371
- 散金: 3286
- 红花: 166
- 帖子: 2101
- 在线: 1968.4小时
- 虫号: 1463681
- 注册: 2011-10-27
- 性别: GG
- 专业: 高分子材料结构与性能
- 管辖: 分子模拟

9楼2016-11-25 15:25:51














回复此楼