| 查看: 361 | 回复: 1 | ||
11xzlai银虫 (小有名气)
|
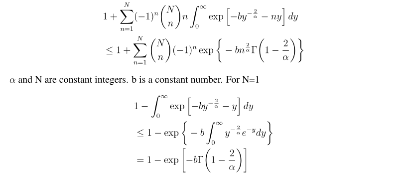
[求助]
求证一个不等式
|
|
|
|
||
|
||
|
2楼2016-11-21 15:28:43
|
|













回复此楼
10