| ²é¿´: 2068 | »Ø¸´: 1 | |
jaqhtn382гæ (³õÈëÎÄ̳)
|
[ÇóÖú]
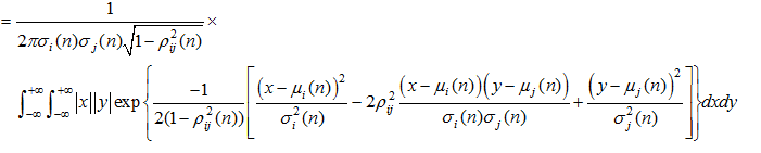
Çó´óÉñ°ï滯¼ò¸ÅÂÊÂÛÖеĶþÖØ»ý·Ö
|
|
|
|
aloberľ³æ (ÖøÃûдÊÖ)
|
|
|
2Â¥2016-11-22 18:18:33
|
|














»Ø¸´´ËÂ¥