| ²é¿´: 412 | »Ø¸´: 3 | ||
songzhudongгæ (ÕýʽдÊÖ)
|
[ÇóÖú]
ÇóÖú£¡¶à×é·ÖÈÈÁ¦Ñ§Ìâ ÒÑÓÐ1È˲ÎÓë
|
|
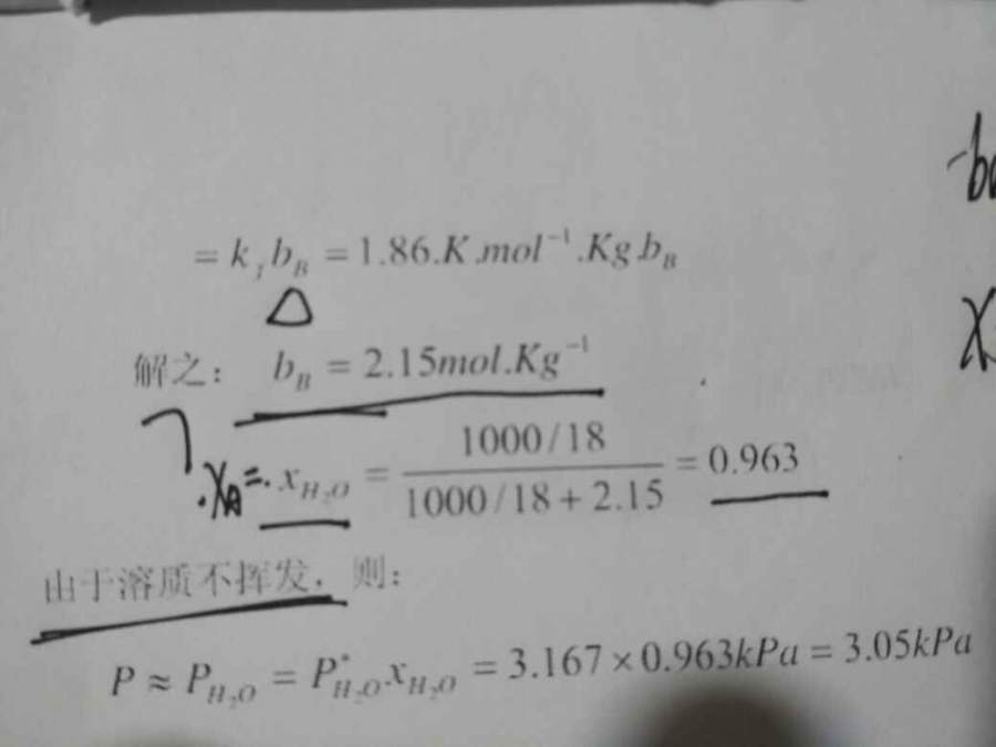
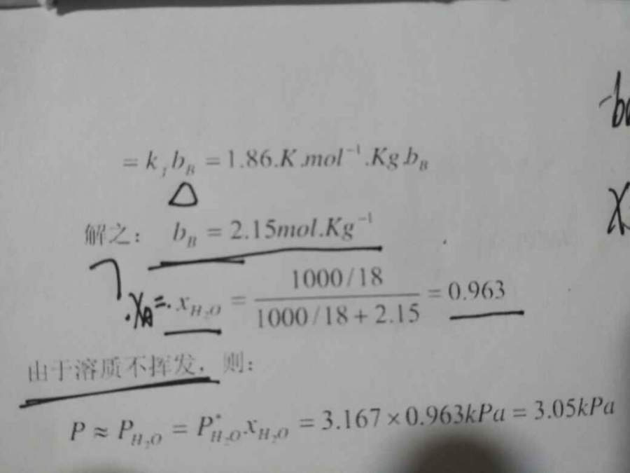
¥ϲ¹Í¼£¬ÓÐÈÜÖʵÄÖÊÁ¿Ä¦¶ûŨ¶ÈbÔõô»»Ëã³ÉË®µÄĦ¶û·ÖÊýµÄ£¿´ð°¸Õâ¸ö¶ÔÂ𣿿´²»¶®°¡¡£ÈÜÖÊÊÇÆÏÌÑÌÇ ·¢×ÔСľ³æAndroid¿Í»§¶Ë |
» ²ÂÄãϲ»¶
Î人·ÄÖ¯´óѧ-²ÄÁÏ¿ÆÑ§Ó빤³ÌѧԺ-½ªÎ°½ÜÇàÍŶÓ-ÕÐÉúÎï·½Ïòµ÷¼Á
ÒѾÓÐ0È˻ظ´
Î人·ÄÖ¯´óѧ-²ÄÁÏ¿ÆÑ§Ó빤³ÌѧԺ-ÕÐ ÉúÎï·½Ïò ˶ʿ£¡
ÒѾÓÐ0È˻ظ´
Óлú¸ß·Ö×Ó²ÄÁÏÂÛÎÄÈóÉ«/·ÒëÔõôÊÕ·Ñ?
ÒѾÓÐ108È˻ظ´
Î人·ÄÖ¯´óѧ-²ÄÁÏ¿ÆÑ§Ó빤³ÌѧԺ-½ªÎ°½ÜÇàÍŶÓ-ÕÐÉúÎï·½Ïòµ÷¼Á
ÒѾÓÐ0È˻ظ´
[Î人·ÄÖ¯´óѧ]²ÄÁÏѧԺ[½ªÎ°ÍŶÓÃû³Æ]¿ÎÌâ×é-2026Äê˶ʿÑо¿Éúµ÷¼ÁÐÅÏ¢
ÒѾÓÐ0È˻ظ´
Î人·ÄÖ¯´óѧ-²ÄÁÏ¿ÆÑ§Ó빤³ÌѧԺ-½ªÎ°½ÜÇàÍŶÓ-Õе÷¼Á
ÒѾÓÐ0È˻ظ´
ÉúÎïҽѧ²ÄÁÏÇ°ÑØ¿ÆÆÕ£ºµÍÃܶȡ¢¸ß¿×϶Âʵġ°¶à¿×΢Çò¡±ºËÐļ¼ÊõÓëÓ¦ÓÃÈ«¾°
ÒѾÓÐ1È˻ظ´
ºþÄϹ¤Òµ´óѧÖܹóÒú×éÕÐÉúÎïҽѧ¹¤³Ì£¨Ñ§Ë¶07¡¢08¶¼ÐУ©¡¢ÉúÎïÓëÒ½Ò©£¨×¨Ë¶08£©Ë¶Ê¿Éú
ÒѾÓÐ0È˻ظ´
ºþÄϹ¤Òµ´óѧÖܹóÒú×éÕÐÉúÎïҽѧ¹¤³Ì£¨Ñ§Ë¶07¡¢08¶¼ÐУ©ºÍÉúÎïÓëÒ½Ò©£¨×¨Ë¶08£©Ë¶Ê¿Éú
ÒѾÓÐ0È˻ظ´
¿¼ÑÐÇóµ÷¼Á
ÒѾÓÐ0È˻ظ´
2026ÄêÖÐÄÏÃñ×å´óѧ»¯Ñ§Óë²ÄÁÏ¿ÆÑ§Ñ§Ôºµ÷¼Á¹«¸æ
ÒѾÓÐ20È˻ظ´

songzhudong
гæ (ÕýʽдÊÖ)
- Ó¦Öú: 18 (СѧÉú)
- ½ð±Ò: 497.7
- É¢½ð: 432
- ºì»¨: 2
- Ìû×Ó: 725
- ÔÚÏß: 156.1Сʱ
- ³æºÅ: 3519152
- ×¢²á: 2014-11-04
- ÐÔ±ð: GG
- רҵ: ÎÞ»úÄÉÃ×»¯Ñ§

2Â¥2016-12-01 23:52:09
songzhudong
гæ (ÕýʽдÊÖ)
- Ó¦Öú: 18 (СѧÉú)
- ½ð±Ò: 497.7
- É¢½ð: 432
- ºì»¨: 2
- Ìû×Ó: 725
- ÔÚÏß: 156.1Сʱ
- ³æºÅ: 3519152
- ×¢²á: 2014-11-04
- ÐÔ±ð: GG
- רҵ: ÎÞ»úÄÉÃ×»¯Ñ§

3Â¥2016-12-01 23:52:54
ÕçÊ¿Òþ207
ľ³æÖ®Íõ (ÎÄѧ̩¶·)
- ICEPI: 6
- Ó¦Öú: 959 (²©ºó)
- ¹ó±ö: 0.369
- ½ð±Ò: 95916.1
- É¢½ð: 8136
- ºì»¨: 222
- ɳ·¢: 6157
- Ìû×Ó: 60782
- ÔÚÏß: 4195.9Сʱ
- ³æºÅ: 2803014
- ×¢²á: 2013-11-15
- רҵ: ʷѧʷ
¡¾´ð°¸¡¿Ó¦Öú»ØÌû
¡ï ¡ï ¡ï ¡ï ¡ï ¡ï ¡ï ¡ï ¡ï ¡ï ¡ï ¡ï ¡ï ¡ï ¡ï ¡ï ¡ï ¡ï ¡ï ¡ï ¡ï ¡ï ¡ï ¡ï ¡ï ¡ï ¡ï ¡ï ¡ï ¡ï ¡ï
songzhudong: ½ð±Ò+30, ¡ï¡ï¡ï¡ï¡ï×î¼Ñ´ð°¸, àÅàÅÌ«¸ÐлÁË¡£ 2016-12-02 00:23:10
±ùµã½µÎÂ: ½ð±Ò+1, лл»ØÌû£¬»¶Ó³£À´ÎÞ»úÎﻯ°æ¿é¡£ 2016-12-02 09:23:15
songzhudong: ½ð±Ò+30, ¡ï¡ï¡ï¡ï¡ï×î¼Ñ´ð°¸, àÅàÅÌ«¸ÐлÁË¡£ 2016-12-02 00:23:10
±ùµã½µÎÂ: ½ð±Ò+1, лл»ØÌû£¬»¶Ó³£À´ÎÞ»úÎﻯ°æ¿é¡£ 2016-12-02 09:23:15
|
ÖÊÁ¿Ä¦¶ûŨ¶È:ÿ1000gË®ÖÐÓÐ2.15Ħ¶ûÈÜÖÊ£¬Ò²¾ÍÊÇË®1000/18Ħ¶û£¬×ÔÈ»¾ÍÄÜÇó³öĦ¶û·ÖÊý¡£ ·¢×ÔСľ³æAndroid¿Í»§¶Ë |
4Â¥2016-12-02 00:12:42














»Ø¸´´ËÂ¥