| 查看: 685 | 回复: 4 | ||
zhouaichen新虫 (小有名气)
|
[求助]
请大神们帮忙看一下我的DSC 结果 已有2人参与
|
|
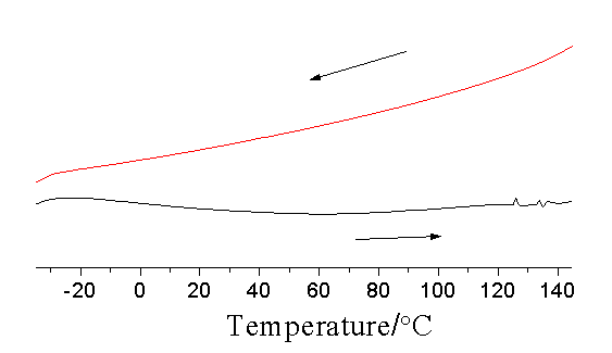
拜托大神们帮忙看一下我的DSC 结果 我的结果中升温过程中在120-140有几个小峰,而且小峰的方向也不相同,但是降温过程中却没有这几个峰,对于DSC只知道一点点,想请木虫的大神们帮忙分析一下,多谢多谢! DSC-2.png DSC-1.png |
» 猜你喜欢
武汉纺织大学-材料科学与工程学院-姜伟杰青团队-招生物方向调剂
已经有0人回复
武汉纺织大学-材料科学与工程学院-招 生物方向 硕士!
已经有0人回复
有机高分子材料论文润色/翻译怎么收费?
已经有123人回复
武汉纺织大学-材料科学与工程学院-姜伟杰青团队-招生物方向调剂
已经有0人回复
[武汉纺织大学]材料学院[姜伟团队名称]课题组-2026年硕士研究生调剂信息
已经有0人回复
武汉纺织大学-材料科学与工程学院-姜伟杰青团队-招调剂
已经有0人回复
生物医学材料前沿科普:低密度、高孔隙率的“多孔微球”核心技术与应用全景
已经有1人回复
湖南工业大学周贵寅组招生物医学工程(学硕07、08都行)、生物与医药(专硕08)硕士生
已经有0人回复
湖南工业大学周贵寅组招生物医学工程(学硕07、08都行)和生物与医药(专硕08)硕士生
已经有0人回复
考研求调剂
已经有0人回复
2026年中南民族大学化学与材料科学学院调剂公告
已经有23人回复
asciii
木虫 (著名写手)
- 应助: 24 (小学生)
- 金币: 2913.7
- 红花: 5
- 帖子: 1323
- 在线: 72小时
- 虫号: 5213707
- 注册: 2016-11-08
- 专业: 热分析与能谱分析
2楼2016-11-19 12:32:10
冰点降温
版主 (文坛精英)
- ICEPI: 16
- 应助: 1049 (博后)
- 贵宾: 17.583
- 金币: 142098
- 散金: 15350
- 红花: 243
- 沙发: 804
- 帖子: 15960
- 在线: 2058.4小时
- 虫号: 851406
- 注册: 2009-09-19
- 性别: GG
- 专业: 化学工程及工业化学
- 管辖: 无机/物化

3楼2016-11-20 21:14:10
zhouaichen
新虫 (小有名气)
- 应助: 0 (幼儿园)
- 金币: 309.5
- 红花: 1
- 帖子: 64
- 在线: 23.1小时
- 虫号: 3180215
- 注册: 2014-05-04
- 专业: 胶体与界面化学
4楼2016-11-22 09:04:03
zhouaichen
新虫 (小有名气)
- 应助: 0 (幼儿园)
- 金币: 309.5
- 红花: 1
- 帖子: 64
- 在线: 23.1小时
- 虫号: 3180215
- 注册: 2014-05-04
- 专业: 胶体与界面化学
5楼2016-11-22 09:05:21














回复此楼
zhouaichen