| 查看: 362 | 回复: 2 | ||
枫飛新虫 (正式写手)
|
[求助]
不会啊 已有1人参与
|
|
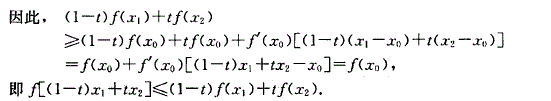
麻烦写一下详细步骤 发自小木虫Android客户端 |
» 猜你喜欢
287求调剂
已经有5人回复
22408 344分 求调剂 一志愿 华电计算机技术
已经有3人回复
289求调剂
已经有3人回复
317求调剂
已经有10人回复
广西大学家禽遗传育种课题组2026年硕士招生(接收计算机专业调剂)
已经有3人回复
学校已经提交到NSFC,还能修改吗?
已经有8人回复
08工学调剂
已经有5人回复
281求调剂(0805)
已经有25人回复
085600材料与化工
已经有6人回复
265求调剂
已经有8人回复
2楼2016-11-19 09:03:53
枫飛
新虫 (正式写手)
- 应助: 0 (幼儿园)
- 金币: 2432
- 散金: 60
- 帖子: 398
- 在线: 25.1小时
- 虫号: 5069537
- 注册: 2016-09-28
- 性别: GG
- 专业: 机构学与机器人
3楼2016-11-19 10:02:27













回复此楼
枫飛
40