| 查看: 789 | 回复: 0 | ||
duanmuxi3377铜虫 (著名写手)
|
[求助]
请教Marfey试剂确定Statine的构型问题
|
|
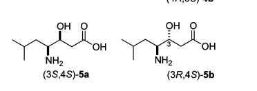
请求诸位做过Marfey反应的大神帮忙: 最近在定一个寡肽类化合物的构型,其中有一个statine肽,它的四种构型我已经合成出来了,由于极性差异较小,所以他们是两两混合在一起的,我用的Marfey试剂是自己合成的FDNP-Val,但是做完Marfey反应之后居然还是一个峰,之前有做出两个峰的结果,但是现在总是一个峰,不知道是不是酸碱性的问题呢?试了多加一些NaHCO3,之前的一次结果有改善,这次就又不行了,不知道问题出在了哪里。。。 做了好久了,寻求诸位做过这个氨基酸的大神帮忙,不胜感激!!!!! statine.png@lifeliuyan |
» 猜你喜欢
一志愿北京科技大学材料工程085601,求调剂
已经有15人回复
288求调剂 一志愿哈工大 材料与化工
已经有8人回复
一志愿郑州大学材料与化工085600,求调剂
已经有17人回复
化工求调剂
已经有10人回复
311求调剂
已经有11人回复
357求调剂
已经有11人回复
材料调剂
已经有8人回复
319求调剂
已经有3人回复
292求调剂
已经有22人回复
材料调剂
已经有8人回复














回复此楼
10