| 查看: 1120 | 回复: 3 | ||
pugongyingi银虫 (小有名气)
|
[求助]
偏微分方程的求解-计算流体力学
|
|
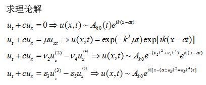
问题:右边不为0的偏微分方程的求解 图片中,左边为待求式,右边是参考解 原意是求解 波动方程,在此基础上, 看到了数值求解中,关于“数值色散”与“数值耗散”的介绍,分别给出偏微分等式右边 为奇数阶导数和偶数阶导数的情况。 自己尝试用 分离变数法求解,无果,希望有好心的大神可以帮忙解答! 非常感谢! 求理论解.png |
» 猜你喜欢
孩子确诊有中度注意力缺陷
已经有14人回复
三甲基碘化亚砜的氧化反应
已经有4人回复
请问下大家为什么这个铃木偶联几乎不反应呢
已经有5人回复
请问有评职称,把科研教学业绩算分排序的高校吗
已经有5人回复
2025冷门绝学什么时候出结果
已经有3人回复
天津工业大学郑柳春团队欢迎化学化工、高分子化学或有机合成方向的博士生和硕士生加入
已经有4人回复
康复大学泰山学者周祺惠团队招收博士研究生
已经有6人回复
AI论文写作工具:是科研加速器还是学术作弊器?
已经有3人回复
论文投稿,期刊推荐
已经有4人回复
请问2026国家基金面上项目会启动申2停1吗
已经有5人回复

![]() |
2楼2017-08-19 10:07:39
![]() |
3楼2017-08-19 11:00:23
![]() |
4楼2017-08-21 09:37:31













回复此楼

