| ²é¿´: 1217 | »Ø¸´: 6 | |
| ¡¾ÐüÉͽð±Ò¡¿»Ø´ð±¾ÌûÎÊÌ⣬×÷ÕßÍõÏþÔÆbetty½«ÔùËÍÄú 34 ¸ö½ð±Ò | |
ÍõÏþÔÆbettyгæ (³õÈëÎÄ̳)
|
[ÇóÖú]
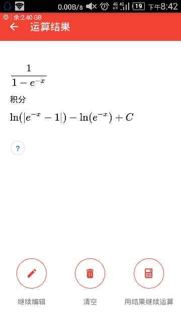
Çó½âÔº¯Êý ÒÑÓÐ1È˲ÎÓë
|
|
|
|
jql3089гæ (³õÈëÎÄ̳)
|
|
|
2Â¥2016-11-14 16:13:00
|
|
jql3089гæ (³õÈëÎÄ̳)
|
|
|
3Â¥2016-11-14 16:13:33
|
|
ÍõÏþÔÆbettyгæ (³õÈëÎÄ̳)
|
|
|
4Â¥2016-11-14 17:25:38
|
|
jql3089гæ (³õÈëÎÄ̳)
|
|
|
5Â¥2016-11-14 17:43:51
|
|
myfujinghang½ð³æ (³õÈëÎÄ̳)
|
|
|
6Â¥2016-11-14 20:54:29
|
|
xu123wentaoľ³æ (ÖøÃûдÊÖ)
|
|
|
7Â¥2016-11-14 21:37:55
|
|














»Ø¸´´ËÂ¥