| 查看: 4085 | 回复: 11 | |
| 当前只显示满足指定条件的回帖,点击这里查看本话题的所有回帖 | |
pingguo0907铜虫 (小有名气)
|
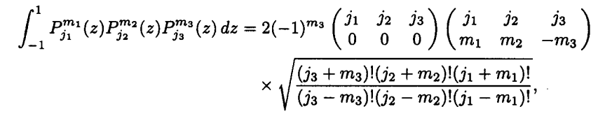
[求助]
这个数学符号是什么意思 已有2人参与
|
![]() |
|
|
|
|
pingguo0907铜虫 (小有名气)
|
|
![]() |
|
|
6楼2016-11-08 10:12:48
|
|
| 查看全部 12 个回答 | |
sir_liu铁杆木虫 (正式写手)
|
|
|
2楼2016-11-07 22:24:01
|
|
pingguo0907铜虫 (小有名气)
|
|
![]() |
|
|
3楼2016-11-08 00:08:01
|
|
pingguo0907铜虫 (小有名气)
|
|
![]() |
|
|
4楼2016-11-08 00:08:52
|
|













回复此楼