| 查看: 336 | 回复: 0 | ||
杜子任木虫 (正式写手)
|
[交流]
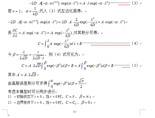
费克第二定律
|

| 1 | 1/1 | 返回列表 |
| 查看: 336 | 回复: 0 | ||
杜子任木虫 (正式写手)
|
[交流]
费克第二定律
|

| 1 | 1/1 | 返回列表 |
| 最具人气热帖推荐 [查看全部] | 作者 | 回/看 | 最后发表 | |
|---|---|---|---|---|
|
[考研] 283分材料与化工求调剂 +19 | 罗KAKA 2026-04-02 | 19/950 |
|
|---|---|---|---|---|
|
[考研] 351求调剂 +3 | 六兮昂啊 2026-03-27 | 3/150 |
|
|
[考研] 288求调剂 一志愿哈工大 材料与化工 +31 | 洛神哥哥 2026-03-31 | 33/1650 |
|
|
[考研] 085801 总分275 本科新能源 求调剂 +18 | bradoner 2026-04-01 | 22/1100 |
|
|
[考研] 336求调剂 +6 | kiyy 2026-04-01 | 6/300 |
|
|
[考研]
|
厦大化工 2026-04-01 | 5/250 |
|
|
[考研] 土木304求调剂 +6 | 兔突突突, 2026-03-31 | 7/350 |
|
|
[考研] 265求调剂 +11 | yelck 2026-04-01 | 12/600 |
|
|
[考研] 生物与医药考研调剂 +5 | 铁憨憨123425 2026-03-31 | 5/250 |
|
|
[考研] 求调剂 +5 | 零八# 2026-03-27 | 5/250 |
|
|
[考研] 086000生物与医药 初试274求调剂 +5 | 小叮当来了 2026-03-30 | 6/300 |
|
|
[考研] 材料调剂 +10 | Eujd1 2026-03-31 | 11/550 |
|
|
[考研] 【调剂】一志愿厦大生物与医药调剂 +3 | Echo虾米 2026-03-31 | 3/150 |
|
|
[考研] 085601 329分调剂 +6 | yzsa12 2026-03-31 | 6/300 |
|
|
[考研] 南京大学化学调剂 +11 | 景随风 2026-03-29 | 16/800 |
|
|
[考研] 291求调剂 +5 | Y-cap 2026-03-29 | 6/300 |
|
|
[考研] 298求调剂 +4 | 种圣赐 2026-03-28 | 4/200 |
|
|
[考研] 11408软件工程求调剂 +3 | Qiu学ing 2026-03-28 | 3/150 |
|
|
[考研] 330一志愿中国海洋大学 化学工程 085602 有读博意愿 求调剂 +3 | wywy.. 2026-03-27 | 4/200 |
|
|
[考研] 285求调剂 +4 | AZMK 2026-03-27 | 7/350 |
|