| 查看: 1001 | 回复: 1 | |||
[交流]
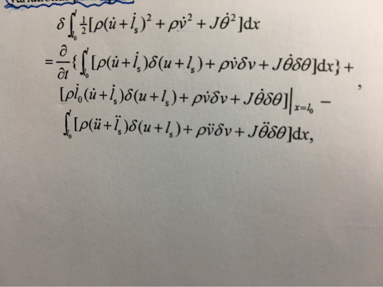
变分法
|
|
请问一下这个具体推导过程 发自小木虫IOS客户端 |
» 猜你喜欢
调剂310
已经有12人回复
化学0703 调剂 306分 一志愿211
已经有6人回复
26申博自荐
已经有4人回复
化学工程085602 305分求调剂
已经有20人回复
一志愿南昌大学324求调剂
已经有5人回复
289求调剂
已经有3人回复
085601材料工程找调剂
已经有14人回复
一志愿211,335分,0856,求调剂院校和导师
已经有6人回复
334分 一志愿武理 材料求调剂
已经有7人回复
275求调剂
已经有18人回复

2楼2016-11-01 12:35:17














回复此楼