| ²é¿´: 1360 | »Ø¸´: 6 | ||
5425054250½ð³æ (СÓÐÃûÆø)
|
[ÇóÖú]
PL¹âÆ×²âÊÔ½á¹ûÇóÖú ÒÑÓÐ2È˲ÎÓë
|
|
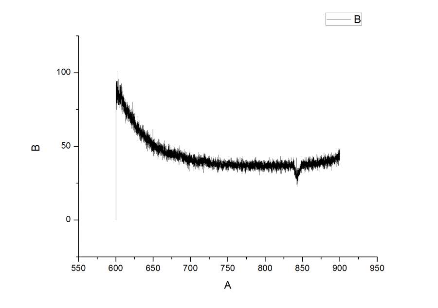
×î½üÎÒ¶ÔÎҵIJÄÁÏ×öÁËÒ»¸öPL£¬532¼¤·¢µÄ£¬È»ºó²ÄÁϵÄÄÜ´ø¼ä϶Ӧ¸ÃÊÇ1.5eV×óÓÒ£¬µ«ÊÇÈ»ºóPLÆ×ÔÚ¶ÔÓ¦²¨³¤´¦Óз壬µ«ÊÇÊdz¯Ïµģ¬Õâ¸öÔõô½âÊͰ¡£¬È»ºóÎÒÕâ¸ö£Ð£Ìͼ»¹Äܲ»ÄÜ»ñÈ¡Ê²Ã´ÖØÒªÐÅÏ¢°¡ 1.jpg |
» ²ÂÄãϲ»¶
ÉϺ£½»Í¨´óѧ²ÄÁÏѧԺÀîÍòÍòÑо¿Ô±ÕÐÊÕ2026Äê¡°ÉêÇë-¿¼ºËÖÆ¡±²©Ê¿ÉúÒ»Ãû
ÒѾÓÐ31È˻ظ´
ÉϺ£¿Æ¼¼´óѧ²ÄÁÏÆ÷¼þÖÐÐĺÏ×÷µ¼Ê¦¿ÆÑгɹûËÙµÝ
ÒѾÓÐ0È˻ظ´
½ðÊô²ÄÁÏÂÛÎÄÈóÉ«/·ÒëÔõôÊÕ·Ñ?
ÒѾÓÐ86È˻ظ´
¡¾µ÷¼ÁÉêÇë¡¿²ÄÁϹ¤³Ì-×Ü·Ö255-±¾¿Æ²ÄÁÏ»¯Ñ§×¨Òµ-Ò»Ö¾Ô¸ºÓ±±¹¤Òµ´óѧ
ÒѾÓÐ2È˻ظ´
293 ²ÄÁϹ¤³ÌÇóµ÷¼Á
ÒѾÓÐ3È˻ظ´
Î÷°²¹ú¼Ò¼¶È˲ÅÍŶӣ¬ÕÐÊÕ×ÊÔ´Óë»·¾³×¨ÒµË¶Ê¿µ÷¼Á
ÒѾÓÐ0È˻ظ´
Æí¸£Öбê
ÒѾÓÐ36È˻ظ´
»¶Ó08¿ªÍ·»ò²¿·Ö07¿ªÍ·µÄÓÐÔµÈ˱¨¿¼
ÒѾÓÐ10È˻ظ´
» ±¾Ö÷ÌâÏà¹ØÉ̼ÒÍÆ¼ö: (ÎÒÒ²ÒªÔÚÕâÀïÍÆ¹ã)
» ±¾Ö÷ÌâÏà¹Ø¼ÛÖµÌùÍÆ¼ö£¬¶ÔÄúͬÑùÓаïÖú:
¡¾ÇóÖú¡¿¹âÖ·¢¹âÆ×£¨PL£©²âÊÔµÄÒ»¸öÎÊÌâ
ÒѾÓÐ2È˻ظ´
rosalbapetal
¾èÖú¹ó±ö (³õÈëÎÄ̳)
- Ó¦Öú: 1 (Ó×¶ùÔ°)
- ½ð±Ò: 108.3
- Ìû×Ó: 31
- ÔÚÏß: 8.3Сʱ
- ³æºÅ: 2724168
- ×¢²á: 2013-10-14
- רҵ: Ô×ӺͷÖ×ÓÎïÀí
2Â¥2016-10-29 18:49:57
5425054250
½ð³æ (СÓÐÃûÆø)
- Ó¦Öú: 2 (Ó×¶ùÔ°)
- ½ð±Ò: 55.9
- É¢½ð: 1109
- ºì»¨: 4
- Ìû×Ó: 282
- ÔÚÏß: 76.7Сʱ
- ³æºÅ: 3854919
- ×¢²á: 2015-05-07
- ÐÔ±ð: GG
- רҵ: °ëµ¼Ìåµç×ÓÆ÷¼þ
3Â¥2016-10-29 19:22:04
5425054250
½ð³æ (СÓÐÃûÆø)
- Ó¦Öú: 2 (Ó×¶ùÔ°)
- ½ð±Ò: 55.9
- É¢½ð: 1109
- ºì»¨: 4
- Ìû×Ó: 282
- ÔÚÏß: 76.7Сʱ
- ³æºÅ: 3854919
- ×¢²á: 2015-05-07
- ÐÔ±ð: GG
- רҵ: °ëµ¼Ìåµç×ÓÆ÷¼þ
4Â¥2016-10-31 16:27:05
rosalbapetal
¾èÖú¹ó±ö (³õÈëÎÄ̳)
- Ó¦Öú: 1 (Ó×¶ùÔ°)
- ½ð±Ò: 108.3
- Ìû×Ó: 31
- ÔÚÏß: 8.3Сʱ
- ³æºÅ: 2724168
- ×¢²á: 2013-10-14
- רҵ: Ô×ӺͷÖ×ÓÎïÀí
|
¿´ÐźÅÇ¿¶ÈͦÈõµÄ£¬¿ÉÒÔ¼ÓÇ¿¼¤·¢¹âÖØ²âô£¬¶à´Î²âÁ¿¶¼ÊÇÕâ½á¹ûô ·¢×ÔСľ³æAndroid¿Í»§¶Ë |
5Â¥2016-11-01 20:12:10
Ù¤Â³ÌØ
ÖÁ×ðľ³æ (ÖøÃûдÊÖ)
- Ó¦Öú: 31 (СѧÉú)
- ½ð±Ò: 10755.6
- É¢½ð: 800
- ºì»¨: 14
- Ìû×Ó: 2766
- ÔÚÏß: 98.8Сʱ
- ³æºÅ: 2394510
- ×¢²á: 2013-04-01
- ÐÔ±ð: GG
- רҵ: °ëµ¼Ìå¹âµç×ÓÆ÷¼þ
6Â¥2016-11-01 20:50:34
rosalbapetal
¾èÖú¹ó±ö (³õÈëÎÄ̳)
- Ó¦Öú: 1 (Ó×¶ùÔ°)
- ½ð±Ò: 108.3
- Ìû×Ó: 31
- ÔÚÏß: 8.3Сʱ
- ³æºÅ: 2724168
- ×¢²á: 2013-10-14
- רҵ: Ô×ӺͷÖ×ÓÎïÀí
7Â¥2016-11-02 10:47:46













»Ø¸´´ËÂ¥
