| 查看: 903 | 回复: 1 | ||
du2667193至尊木虫 (著名写手)
|
[求助]
紧急求助,用2阶偏微分方程组拟合实验数据
|
|
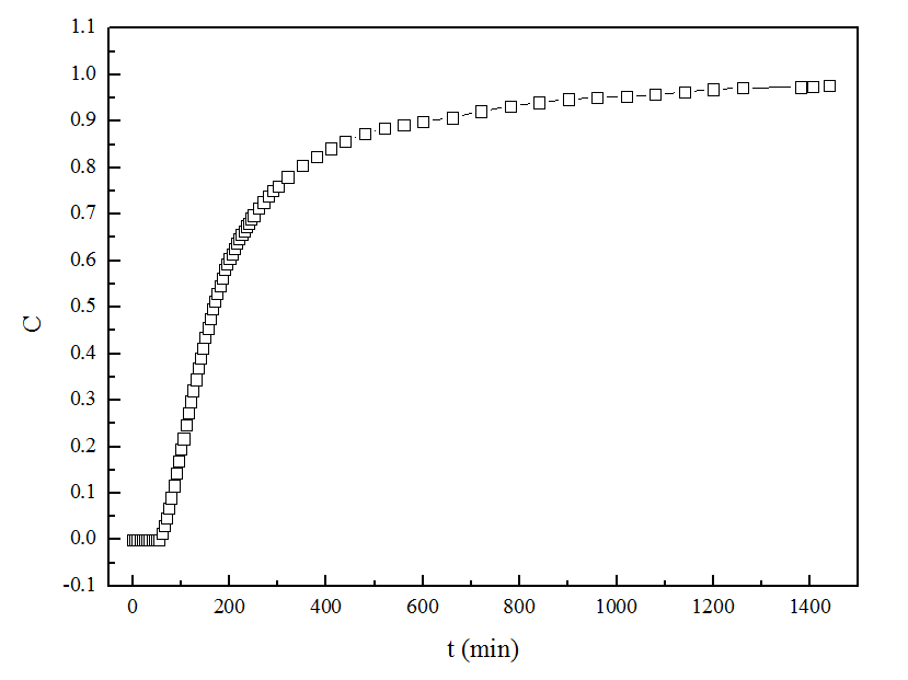
偏微分方程组、初始条件和边界条件,如下图和附件所示。 一共有四个参数,需要利用实验数据拟合出来。 不知道怎么拟合,也不知道该用什么办法什么软件进行。 哪位精通的大神,可以帮我试试,看看这个方程组能否拟合下面的实验数据。 实验结果也在下图和附件里面。 在此多谢了! 偏微分方程组.png 实验数据.png |
» 本帖附件资源列表
-
欢迎监督和反馈:小木虫仅提供交流平台,不对该内容负责。
本内容由用户自主发布,如果其内容涉及到知识产权问题,其责任在于用户本人,如对版权有异议,请联系邮箱:xiaomuchong@tal.com - 附件 1 : 偏微分方程组.docx
- 附件 2 : 实验数据.xlsx
2016-10-27 20:18:17, 23.54 K
2016-10-27 20:18:24, 10.42 K
» 猜你喜欢
寻求一种能扛住强氧化性腐蚀性的容器密封件
已经有3人回复
请问哪里可以有青B申请的本子可以借鉴一下。
已经有4人回复
真诚求助:手里的省社科项目结项要求主持人一篇中文核心,有什么渠道能发核心吗
已经有6人回复
孩子确诊有中度注意力缺陷
已经有14人回复
三甲基碘化亚砜的氧化反应
已经有4人回复
请问下大家为什么这个铃木偶联几乎不反应呢
已经有5人回复
请问有评职称,把科研教学业绩算分排序的高校吗
已经有5人回复
2025冷门绝学什么时候出结果
已经有3人回复
天津工业大学郑柳春团队欢迎化学化工、高分子化学或有机合成方向的博士生和硕士生加入
已经有4人回复
康复大学泰山学者周祺惠团队招收博士研究生
已经有6人回复

du2667193
至尊木虫 (著名写手)
- 应助: 0 (幼儿园)
- 金币: 13169.7
- 散金: 15
- 帖子: 1642
- 在线: 247.5小时
- 虫号: 2643179
- 注册: 2013-09-09
- 性别: GG
- 专业: 石油天然气开采

2楼2016-10-27 21:48:33













回复此楼