| 查看: 10146 | 回复: 2 | ||
1787350421铁虫 (初入文坛)
|
[求助]
电子顺磁共振数据处理(ESR)关于g值和
|
|
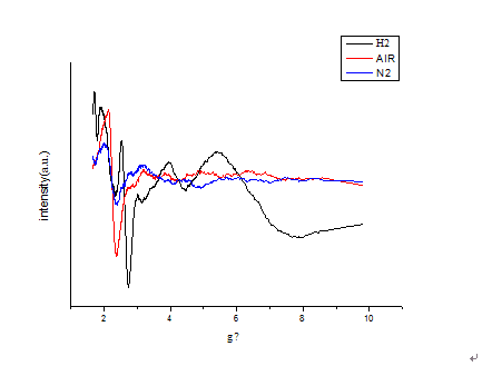
本人由于刚接触电子顺磁共振表征,很多东西不是很懂,不同的物质氧空位值一般都在2左右,我的为什么不在2左右?并且在不同氛围下烧出来的东西峰值为什么差值那么大呢?附有下图,这两张图能说明什么问题呀?希望有懂的老师帮我解释一下,谢谢啦! 2.png 1.png |
» 猜你喜欢
材料专业求调剂
已经有11人回复
295材料求调剂,一志愿武汉理工085601专硕
已经有5人回复
冶金与矿业论文润色/翻译怎么收费?
已经有186人回复
信越公司的X-12-1214A国产替代
已经有0人回复
【招生宣传】西交利物浦大学高级化学硕士(MSc Advanced Chemical Science)2026招生
已经有0人回复
葡萄糖酸钠作为混凝土缓凝剂的关键指标
已经有0人回复
一志愿西南交通大学085600材料与化工,总分316,求调剂
已经有3人回复
【MP期刊】青年编委招募开启!加入我们,一起推动材料科学前沿
已经有10人回复
085601一志愿269分可以调剂吗
已经有2人回复
332 9本求92调剂
已经有6人回复
275求调剂
已经有14人回复
2楼2016-10-31 07:31:19
1787350421
铁虫 (初入文坛)
- 应助: 0 (幼儿园)
- 金币: 161
- 散金: 10
- 帖子: 33
- 在线: 48.2小时
- 虫号: 4866388
- 注册: 2016-07-24
- 专业: 表面、形态与形貌分析
3楼2016-10-31 10:53:21














回复此楼