| 查看: 1053 | 回复: 4 | |||
SeanTse木虫 (正式写手)
|
[求助]
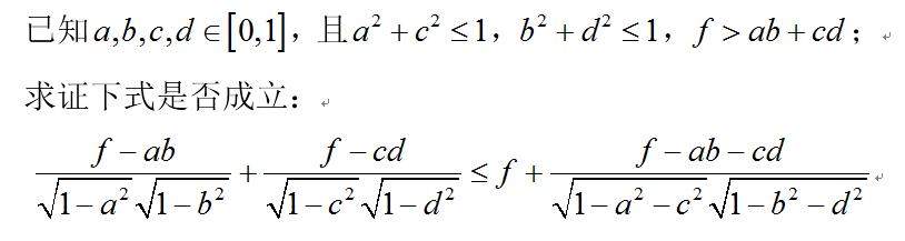
求证一道数学不等式 已有1人参与
|
||
|
|
|||
Mr__Right专家顾问 (著名写手)
|
|||
![]() |
|||
|
2楼2016-10-26 19:32:02
|
|
||
|
3楼2016-10-28 06:25:05
|
|
||
|
4楼2016-10-28 06:25:36
|
|
||
songbai_hnu新虫 (初入文坛)
|
|||
|
5楼2016-10-28 13:14:19
|
|













回复此楼

10