24小时热门版块排行榜    

Znn3bq.jpeg
查看: 317  |  回复: 0

金戈铁马1980

铁虫 (初入文坛)

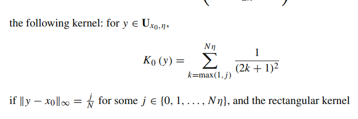
[求助] 请告诉图片中这个K0的出处,最好是详细的文献目录

请告诉图片中这个K0的出处,最好是详细的文献目录

请告诉图片中这个K0的出处,最好是详细的文献目录
kernel.png
回复此楼
已阅   回复此楼   关注TA 给TA发消息 送TA红花 TA的回帖
相关版块跳转 我要订阅楼主 金戈铁马1980 的主题更新
最具人气热帖推荐 [查看全部] 作者 回/看 最后发表
[考博] 云南大学材料与能源学院解琳课题组钙钛矿博士招生 +3 光伏爱好者 2026-05-17 4/200 2026-05-19 01:19 by 风起于浮萍
[考博] 博士申请 +5 星…… 2026-05-18 6/300 2026-05-18 23:49 by 糊糊涂涂好
[基金申请] 今年审到国自然15份,谈谈感受 +16 国自然国社科中 2026-05-17 16/800 2026-05-18 14:58 by gy116024
[基金申请] 重磅!青年科学基金项目(C类)资助增幅预计超过50% +7 水和泥不是水泥 2026-05-13 10/500 2026-05-18 07:50 by 水和泥不是水泥
[硕博家园] 售SCI一区T0P文章,我:8.O.5.5.1.O.5.4,科目齐全,可+急 +6 l7k6xnh0yc 2026-05-14 7/350 2026-05-17 19:42 by Equinoxhua
[考研] 售SCI一区T0P文章,我:8.O.5.5.1.O.5.4,科目齐全,可+急 +4 xx7gd5zq4e 2026-05-15 6/300 2026-05-17 19:36 by Equinoxhua
[基金申请] 这年头没有找到涵评专家,还有中面上的可能吗 +13 dd921ww 2026-05-12 16/800 2026-05-17 12:38 by 于轩
[考博] 26/27博士推荐 +3 1木头人13949 2026-05-13 3/150 2026-05-17 09:41 by YuY66
[找工作] 售SCI一区T0P文章,我:8.O.5.5.1.O.5.4,科目齐全,可+急 +3 l7k6xnh0yc 2026-05-14 6/300 2026-05-17 07:31 by 11n4dfd8yn
[考博] 售SCI一区T0P文章,我:8.O.5.5.1.O.5.4,科目齐全,可+急 +6 l7k6xnh0yc 2026-05-14 6/300 2026-05-17 07:11 by 11n4dfd8yn
[找工作] 售SCI一区T0P文章,我:8.O.5.5.1.O.5.4,科目齐全,可+急 +3 k37jurhrau 2026-05-16 3/150 2026-05-17 01:37 by ue3ir18jc3
[博后之家] 售SCI一区T0P文章,我:8.O.5.5.1.O.5.4,科目齐全,可+急 +4 k37jurhrau 2026-05-16 4/200 2026-05-17 01:35 by ue3ir18jc3
[考研] 售SCI一区T0P文章,我:8.O.5.5.1.O.5.4,科目齐全,可+急 +3 k37jurhrau 2026-05-16 3/150 2026-05-17 01:25 by ue3ir18jc3
[考研] 售SCI一区T0P文章,我:8.O.5.5.1.O.5.4,科目齐全,可+急 +3 ky2p12rrjj 2026-05-15 4/200 2026-05-17 00:50 by ue3ir18jc3
[高分子] 本人最近太闲了,谁有问题可以提,每天会统一回复 +9 一切都是空工 2026-05-12 20/1000 2026-05-16 19:52 by Equinoxhua
[有机交流] 求助2,4-二氯-5-嘧啶甲醛的合成方法 20+3 光吃不拉 2026-05-14 6/300 2026-05-16 19:46 by Equinoxhua
[硕博家园] 售SCI一区T0P文章,我:8.O.5.5.1.O.5.4,科目齐全,可+急 +4 x0mp7owy2b 2026-05-15 4/200 2026-05-16 17:45 by j6b2pdz07o
[有机交流] 如何实现卤原子转化 +3 BT20230424 2026-05-15 5/250 2026-05-16 16:20 by czyzsu
[硕博家园] 售SCI一区T0P文章,我:8.O.5.5.1.O.5.4,科目齐全,可+急 +3 k37jurhrau 2026-05-16 3/150 2026-05-16 13:57 by vcdazktkjx
[论文投稿] 求助大佬sci投稿哪个好中 +3 江沅188 2026-05-12 4/200 2026-05-13 14:35 by 江沅188
信息提示
请填处理意见