| ²é¿´: 1391 | »Ø¸´: 11 | ||
2529307568Ìú³æ (³õÈëÎÄ̳)
|
[ÇóÖú]
µç»¯Ñ§²âÊÔ Çó´óÉñ¸ø·ÖÎöÏ ÒÑÓÐ2È˲ÎÓë
|
|
|
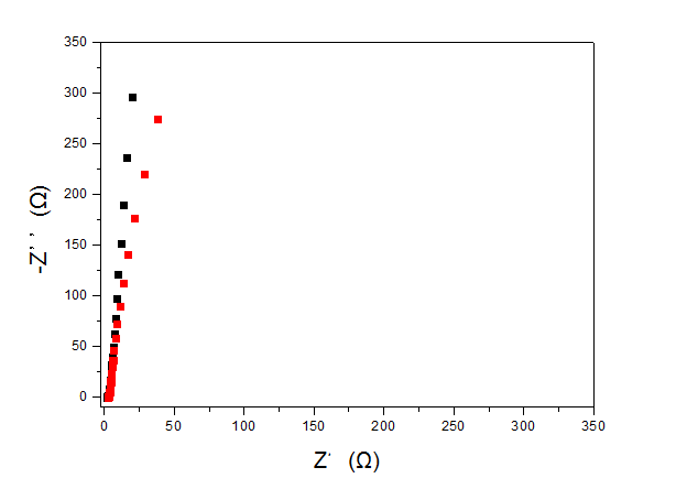
×öÁËÁ½¸öÑùÆ·µÄµç»¯Ñ§²âÊÔ£¬´ÓEISÀ´¿´ºÚÉ«½ÏºÃ£¬ÎªÊ²Ã´²â³ä·ÅµçʱȴûÓкìÉ«µÄºÃ )W}UGEJBMA(ATTAA0(9)Z3G.png UBLY$9LR5V0J]FH4SG[VPB0.png@langzhizhou |
» ²ÂÄãϲ»¶
0854µç×ÓÐÅÏ¢272Çóµ÷¼Á£¡
ÒѾÓÐ0È˻ظ´
»¯Ñ§-»¯¹¤-²ÄÁÏ-ʳƷ-ÉúÎï-»·¾³2026ÄêÑо¿Éúµ÷¼Á£¨¿ÉÒÔ²»¿¼Êýѧ£©
ÒѾÓÐ0È˻ظ´
ÎïÀí»¯Ñ§ÂÛÎÄÈóÉ«/·ÒëÔõôÊÕ·Ñ?
ÒѾÓÐ108È˻ظ´
»¯Ñ§-»¯¹¤-²ÄÁÏ-ʳƷ-ÉúÎï-»·¾³-ũҵ 2026ÄêÑо¿Éúµ÷¼Á£¨¿ÉÒÔ²»¿¼Êýѧ£©
ÒѾÓÐ1È˻ظ´
070300Ò»Ö¾Ô¸211£¬312·ÖÇóµ÷¼ÁԺУ
ÒѾÓÐ10È˻ظ´
26Äê´¢ÄÜ¡¢µç³Ø·½Ïò²©Ê¿ÉêÇë
ÒѾÓÐ0È˻ظ´
070300»¯Ñ§Çóµ÷¼Á
ÒѾÓÐ9È˻ظ´
Çൺ´óѧ»¯Ñ§»¯¹¤Ñ§Ôº2026ÄêÕÐÊÕµ÷¼Á˶ʿÑо¿Éú
ÒѾÓÐ0È˻ظ´
±±·½¹¤Òµ´óѧ085808´¢Äܼ¼Êõ-02·½Ïò£¨µç³Ø£©½ÓÊÕµ÷¼ÁÉú
ÒѾÓÐ0È˻ظ´
272Çóµ÷¼Á£¬½ÓÊÜ¿çרҵµ÷¼Á£¡
ÒѾÓÐ3È˻ظ´
ÓÐÒ»ÇøTOPÂÛÎÄ£¬Çóµ÷¼Á
ÒѾÓÐ9È˻ظ´
» ±¾Ö÷ÌâÏà¹Ø¼ÛÖµÌùÍÆ¼ö£¬¶ÔÄúͬÑùÓаïÖú:
Ïû³ý´ß»¯Áã»Ø¸´£¬¸Ðл³æÓÑÀ´½»Á÷£¨¶þÊ®Î壩
ÒѾÓÐ2È˻ظ´
CVÇúÏßÇó·ÖÎö
ÒѾÓÐ3È˻ظ´
lsh200100
Ìú¸Ëľ³æ (ÖøÃûдÊÖ)
ºì³¾À´È¥Ò»³¡ÃÎ
- ECEPI: 1
- Ó¦Öú: 159 (¸ßÖÐÉú)
- ½ð±Ò: 8499.9
- É¢½ð: 65
- ºì»¨: 89
- Ìû×Ó: 2068
- ÔÚÏß: 524.6Сʱ
- ³æºÅ: 539244
- ×¢²á: 2008-04-04
- ÐÔ±ð: GG
- רҵ: ÄÜÔ´»¯¹¤
5Â¥2016-10-24 22:26:20
ÈîÖ®¸´ÐË
½ð³æ (СÓÐÃûÆø)
- ECEPI: 1
- Ó¦Öú: 50 (СѧÉú)
- ½ð±Ò: 1506.1
- ºì»¨: 58
- Ìû×Ó: 216
- ÔÚÏß: 146.5Сʱ
- ³æºÅ: 1291867
- ×¢²á: 2011-05-11
- ÐÔ±ð: GG
- רҵ: µç»¯Ñ§
¡¾´ð°¸¡¿Ó¦Öú»ØÌû
¡ï ¡ï ¡ï ¡ï ¡ï ¡ï ¡ï ¡ï ¡ï ¡ï
¸Ðл²ÎÓ룬ӦÖúÖ¸Êý +1
2529307568: ½ð±Ò+10, ¡ï¡ï¡ïºÜÓаïÖú 2016-10-27 11:54:11
¸Ðл²ÎÓ룬ӦÖúÖ¸Êý +1
2529307568: ½ð±Ò+10, ¡ï¡ï¡ïºÜÓаïÖú 2016-10-27 11:54:11
|
Äܶ¨ÒåÒ»ÏÂʲôÊÇ¡°ºÃ¡±Âð£¿ÒÀ¾ÝµÄÊÇʲôָ±ê£¿ ´Ó³ä·ÅµçÇúÏßÀ´½²£¬ºìÉ«µÄµçÈݸü´óÒ»µã°É£¿ µ«ÊÇÕâ¾ÍÎÞ·¨ÔÚ×è¸ãÆ×ÉÏÏÔʾ³öÀ´µÄ¡£×迹Æ×Ö»ÄܸæËßÄãÕâ¸öµçÈݵijäµçЧÂʻ᲻»á¿ì£¬µ«ÊǸúÈÝÁ¿Ó¦¸Ãû¶àÉÙ¹ØÏµ¡£ ´Ó×迹Æ×À´¿´£¬¸ßƵ¼«ÏÞλÖõÄʵ²¿·Ö±ðÊÇ£¨ºÚ£©2.2 £¨ºì£©2.8£¬¾ÍÊÇ˵ºÚÉ«µÄÄÚ×è¸üСһµã¡£µ«Êǵ½ÁËµÍÆµ£¬Ã²Ëƾͱä³ÉÁËÀ©É¢×迹¡£Õâʱºò×迹µÄÒòËØÖ÷ÒªÊÇÀë×ÓÀ©É¢ÏµÊýÒÔ¼°À©É¢²ãµÄºñ¶È¡£ ËùÒÔ˵£¬³ä·ÅµçÇúÏߺÍ×迹Æ×¿´µÄÊDz»Ò»ÑùµÄ·½Ãæ¡£¼´Ê¹ÊÇ×迹Æ×Ò»ÏҲ»á·´Ó³³ö¶à¸öÖ¸±ê¡£µ«ÖÁÓÚÊÇ·ñÄÜÓõ¥Ò»Ö¸±êÀ´ºâÁ¿Ò»¸öµçÈÝ¡°ºÃ¡±»¹ÊÇ¡°²»ºÃ¡±£¬ÎÒ¾Íû·¨»Ø´ðÁË¡£ |

11Â¥2016-10-26 23:25:56
liuwei2004
ÖÁ×ðľ³æ (ÖøÃûдÊÖ)
- ECEPI: 2
- Ó¦Öú: 438 (˶ʿ)
- ½ð±Ò: 13494.1
- É¢½ð: 978
- ºì»¨: 58
- Ìû×Ó: 2503
- ÔÚÏß: 1009.9Сʱ
- ³æºÅ: 541039
- ×¢²á: 2008-04-07
- ÐÔ±ð: GG
- רҵ: µç»¯Ñ§
2Â¥2016-10-24 17:36:40
2529307568
Ìú³æ (³õÈëÎÄ̳)
- Ó¦Öú: 0 (Ó×¶ùÔ°)
- ½ð±Ò: 36.1
- Ìû×Ó: 45
- ÔÚÏß: 56.3Сʱ
- ³æºÅ: 3759627
- ×¢²á: 2015-03-23
- רҵ: ¸ß·Ö×Ӻϳɻ¯Ñ§
3Â¥2016-10-24 19:19:58
2529307568
Ìú³æ (³õÈëÎÄ̳)
- Ó¦Öú: 0 (Ó×¶ùÔ°)
- ½ð±Ò: 36.1
- Ìû×Ó: 45
- ÔÚÏß: 56.3Сʱ
- ³æºÅ: 3759627
- ×¢²á: 2015-03-23
- רҵ: ¸ß·Ö×Ӻϳɻ¯Ñ§
4Â¥2016-10-24 20:58:54
2529307568
Ìú³æ (³õÈëÎÄ̳)
- Ó¦Öú: 0 (Ó×¶ùÔ°)
- ½ð±Ò: 36.1
- Ìû×Ó: 45
- ÔÚÏß: 56.3Сʱ
- ³æºÅ: 3759627
- ×¢²á: 2015-03-23
- רҵ: ¸ß·Ö×Ӻϳɻ¯Ñ§
6Â¥2016-10-25 13:45:51
liuwei2004
ÖÁ×ðľ³æ (ÖøÃûдÊÖ)
- ECEPI: 2
- Ó¦Öú: 438 (˶ʿ)
- ½ð±Ò: 13494.1
- É¢½ð: 978
- ºì»¨: 58
- Ìû×Ó: 2503
- ÔÚÏß: 1009.9Сʱ
- ³æºÅ: 541039
- ×¢²á: 2008-04-07
- ÐÔ±ð: GG
- רҵ: µç»¯Ñ§
7Â¥2016-10-25 14:13:31
2529307568
Ìú³æ (³õÈëÎÄ̳)
- Ó¦Öú: 0 (Ó×¶ùÔ°)
- ½ð±Ò: 36.1
- Ìû×Ó: 45
- ÔÚÏß: 56.3Сʱ
- ³æºÅ: 3759627
- ×¢²á: 2015-03-23
- רҵ: ¸ß·Ö×Ӻϳɻ¯Ñ§
8Â¥2016-10-25 15:01:36
bububrain
½ð³æ (СÓÐÃûÆø)
- Ó¦Öú: 0 (Ó×¶ùÔ°)
- ½ð±Ò: 846.7
- É¢½ð: 119
- Ìû×Ó: 123
- ÔÚÏß: 78.7Сʱ
- ³æºÅ: 2738597
- ×¢²á: 2013-10-20
- ÐÔ±ð: GG
- רҵ: µç»¯Ñ§
9Â¥2016-10-26 08:28:04
¶¬ÈÕÌýÑ©
гæ (СÓÐÃûÆø)
- Ó¦Öú: 1 (Ó×¶ùÔ°)
- ½ð±Ò: 134.6
- É¢½ð: 70
- Ìû×Ó: 75
- ÔÚÏß: 21Сʱ
- ³æºÅ: 3862428
- ×¢²á: 2015-05-11
- ÐÔ±ð: GG
- רҵ: µç»¯Ñ§
10Â¥2016-10-26 19:32:44














»Ø¸´´ËÂ¥