| 查看: 5061 | 回复: 2 | |||
[求助]
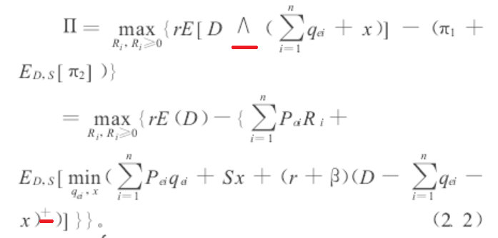
求问下面式子中的上三角符号及上标加号是什么意思? 已有1人参与
|
|||
|
|
|||
|
2楼2018-11-25 14:40:55
|
|
||
wurongjun专家顾问 (职业作家)
|
|||
![]() |
|||
|
3楼2018-11-26 10:44:52
|
|













回复此楼

