| 查看: 651 | 回复: 2 | ||
zhangling_e铜虫 (初入文坛)
|
[求助]
各位大神请帮小妹分析下氢谱里的杂峰吧,谢谢~~ 已有1人参与
|
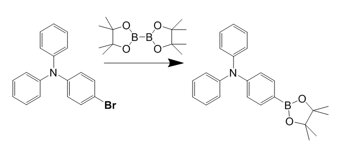
各位大神,小妹我这有个氢谱,表征的是我如图反应的产物,但是那两个红色圆圈里的四个小峰不知是什么东西(不是反应底物的峰),请各位大神帮着分析下啊 ,看看是不是4-溴-三苯胺自偶联了或者脱溴了啊。催化剂是双【(二苯基膦)二茂铁】二氯化钯,反应温度是85摄氏度。谢谢各位大神了![]() ![]() 图片1.png (6R0BL[UX`QL9RQ589K[BJR.png |
» 猜你喜欢
人工智能320调剂08工类还有机会吗
已经有17人回复
考研英一数一338分
已经有10人回复
求助调剂,跨调
已经有15人回复
085600材料与化工329分求调剂
已经有20人回复
085600材料与化工349分求调剂
已经有15人回复
求调剂
已经有13人回复
一志愿华南理工大学331分材料求调剂
已经有11人回复
271求调剂
已经有40人回复
求调剂学校
已经有3人回复
332求调剂
已经有15人回复
玉满儿
金虫 (正式写手)
- 应助: 1 (幼儿园)
- 金币: 1479.2
- 散金: 120
- 红花: 7
- 帖子: 335
- 在线: 110.3小时
- 虫号: 2080863
- 注册: 2012-10-23
- 性别: MM
- 专业: 生物化工与食品化工

2楼2016-10-26 19:35:42
zhangling_e
铜虫 (初入文坛)
- 应助: 0 (幼儿园)
- 金币: 1066
- 散金: 6
- 红花: 1
- 帖子: 27
- 在线: 42.3小时
- 虫号: 2030054
- 注册: 2012-09-25
- 专业: 化学生物学与生物有机化学
3楼2016-10-26 21:47:29














,看看是不是4-溴-三苯胺自偶联了或者脱溴了啊。催化剂是双【(二苯基膦)二茂铁】二氯化钯,反应温度是85摄氏度。谢谢各位大神了
回复此楼