| 查看: 1601 | 回复: 8 | |||
执笔绘江山新虫 (初入文坛)
|
[交流]
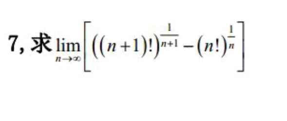
求助!!!这个极限怎么求啊
|
|
求大神 发自小木虫Android客户端 |
» 猜你喜欢
售SCI一区文章,我:8 O5 51O 54,科目齐全
已经有3人回复
售SCI一区文章,我:8 O5 51O 54,科目齐全
已经有3人回复
售SCI一区文章,我:8 O5 51O 54,科目齐全
已经有4人回复
售SCI一区文章,我:8 O5 51O 54,科目齐全
已经有3人回复
售SCI一区文章,我:8 O5 51O 54,科目齐全
已经有5人回复
售SCI一区文章,我:8 O5 51O 54,科目齐全
已经有5人回复
售SCI一区文章,我:8 O5 51O 54,科目齐全
已经有5人回复
售SCI一区文章,我:8 O5 51O 54,科目齐全
已经有6人回复
售SCI一区文章,我:8 O5 51O 54,科目齐全
已经有6人回复
售SCI一区文章,我:8 O5 51O 54,科目齐全
已经有6人回复
恋别尘心
银虫 (初入文坛)
- 应助: 0 (幼儿园)
- 金币: 932.1
- 帖子: 49
- 在线: 28.7小时
- 虫号: 2449439
- 注册: 2013-05-05
- 性别: GG
- 专业: 凝聚态物性I:结构、力学和
★ ★ ★ ★ ★ ★ ★ ★ ★ ★ ★
小木虫: 金币+0.5, 给个红包,谢谢回帖
执笔绘江山: 金币+10 2016-10-24 09:12:37
小木虫: 金币+0.5, 给个红包,谢谢回帖
执笔绘江山: 金币+10 2016-10-24 09:12:37
2楼2016-10-23 00:25:15
恋别尘心
银虫 (初入文坛)
- 应助: 0 (幼儿园)
- 金币: 932.1
- 帖子: 49
- 在线: 28.7小时
- 虫号: 2449439
- 注册: 2013-05-05
- 性别: GG
- 专业: 凝聚态物性I:结构、力学和
3楼2016-10-23 00:25:37
执笔绘江山
新虫 (初入文坛)
- 应助: 0 (幼儿园)
- 金币: 101.5
- 散金: 15
- 帖子: 6
- 在线: 4.1小时
- 虫号: 4770967
- 注册: 2016-06-13
- 性别: GG
- 专业: 计算数学与科学工程计算
4楼2016-10-24 09:26:27
执笔绘江山
新虫 (初入文坛)
- 应助: 0 (幼儿园)
- 金币: 101.5
- 散金: 15
- 帖子: 6
- 在线: 4.1小时
- 虫号: 4770967
- 注册: 2016-06-13
- 性别: GG
- 专业: 计算数学与科学工程计算
5楼2016-10-24 09:37:42
hou_hj
铁杆木虫 (著名写手)
- 应助: 2 (幼儿园)
- 金币: 7979.2
- 红花: 7
- 沙发: 1
- 帖子: 1174
- 在线: 212.8小时
- 虫号: 1247045
- 注册: 2011-03-27
- 专业: 决策理论与方法
6楼2016-10-24 10:25:23
恋别尘心
银虫 (初入文坛)
- 应助: 0 (幼儿园)
- 金币: 932.1
- 帖子: 49
- 在线: 28.7小时
- 虫号: 2449439
- 注册: 2013-05-05
- 性别: GG
- 专业: 凝聚态物性I:结构、力学和
7楼2016-10-24 18:38:40
★
小木虫: 金币+0.5, 给个红包,谢谢回帖
小木虫: 金币+0.5, 给个红包,谢谢回帖
|
本帖内容被屏蔽 |
8楼2016-10-26 10:59:53
9楼2016-10-28 20:47:35













回复此楼