24小时热门版块排行榜    

Znn3bq.jpeg
查看: 282  |  回复: 0

大力2010

金虫 (著名写手)

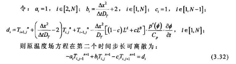
[求助] 请教高手 在 Fortran 中这个用交替显隐式法怎么计算 ???

请教高手  在 Fortran 中这个用交替显隐式法怎么计算  ???

请教高手  在 Fortran 中这个用交替显隐式法怎么计算  ???
00.jpg


请教高手  在 Fortran 中这个用交替显隐式法怎么计算  ???-1
01.jpg


请教高手  在 Fortran 中这个用交替显隐式法怎么计算  ???-2
02.jpg
回复此楼
已阅   回复此楼   关注TA 给TA发消息 送TA红花 TA的回帖
相关版块跳转 我要订阅楼主 大力2010 的主题更新
最具人气热帖推荐 [查看全部] 作者 回/看 最后发表
[文学芳草园] 半夜喝咖啡 +3 myrtle 2026-05-15 5/250 2026-05-18 01:03 by 小沈2018
[基金申请] 面上本子正文33页,违规吗?会被低分嘛? +5 1234567wang 2026-05-17 6/300 2026-05-17 21:18 by maxjing
[硕博家园] 售SCI一区T0P文章,我:8.O.5.5.1.O.5.4,科目齐全,可+急 +6 l7k6xnh0yc 2026-05-14 7/350 2026-05-17 19:42 by Equinoxhua
[考研] 售SCI一区T0P文章,我:8.O.5.5.1.O.5.4,科目齐全,可+急 +4 xx7gd5zq4e 2026-05-15 6/300 2026-05-17 19:36 by Equinoxhua
[考研] 售SCI一区T0P文章,我:8.O.5.5.1.O.5.4,科目齐全,可+急 +6 cjf4bx70cj 2026-05-14 7/350 2026-05-17 18:49 by Equinoxhua
[公派出国] 售SCI一区T0P文章,我:8.O.5.5.1.O.5.4,科目齐全,可+急 +4 v9tggjlwd0 2026-05-15 5/250 2026-05-17 18:39 by Equinoxhua
[教师之家] 上海大学实验技术岗位非升即走 +7 嘻嘻哈哈乐呵呵 2026-05-15 7/350 2026-05-17 16:58 by songwz
[考研] 售SCI一区T0P文章,我:8.O.5.5.1.O.5.4,科目齐全,可+急 +4 v9tggjlwd0 2026-05-15 4/200 2026-05-17 08:11 by 11n4dfd8yn
[硕博家园] 售SCI一区T0P文章,我:8.O.5.5.1.O.5.4,科目齐全,可+急 +5 cjf4bx70cj 2026-05-14 7/350 2026-05-17 06:55 by 11n4dfd8yn
[找工作] 售SCI一区T0P文章,我:8.O.5.5.1.O.5.4,科目齐全,可+急 +3 k37jurhrau 2026-05-16 3/150 2026-05-17 01:37 by ue3ir18jc3
[论文投稿] 售SCI一区T0P文章,我:8.O.5.5.1.O.5.4,科目齐全,可+急 +3 k37jurhrau 2026-05-16 3/150 2026-05-17 01:25 by ue3ir18jc3
[考研] 售SCI一区T0P文章,我:8.O.5.5.1.O.5.4,科目齐全,可+急 +3 k37jurhrau 2026-05-16 3/150 2026-05-17 01:25 by ue3ir18jc3
[基金申请] 精华III评审感受-评审感受-评审感受 +16 ferrarichen 2026-05-11 20/1000 2026-05-17 01:10 by 南开小綦
[考研] 售SCI一区T0P文章,我:8.O.5.5.1.O.5.4,科目齐全,可+急 +3 ky2p12rrjj 2026-05-15 4/200 2026-05-17 00:50 by ue3ir18jc3
[硕博家园] 售SCI一区T0P文章,我:8.O.5.5.1.O.5.4,科目齐全,可+急 +3 ky2p12rrjj 2026-05-15 3/150 2026-05-17 00:45 by ue3ir18jc3
[论文投稿] 售SCI一区T0P文章,我:8.O.5.5.1.O.5.4,科目齐全,可+急 +5 x0mp7owy2b 2026-05-15 5/250 2026-05-17 00:29 by xiangfeng
[考博] 现在不知道怎么办,感觉很痛苦 +5 qweww 2026-05-11 6/300 2026-05-16 19:57 by Equinoxhua
[有机交流] 求有机合成大神指点三硫酸乙烯酯(CAS:2793408-99-6)的合成路线 30+3 Leekmid 2026-05-13 10/500 2026-05-16 16:37 by czyzsu
[考博] 材料类只有一篇综述能申博么 +4 乐逍遥谷 2026-05-13 4/200 2026-05-14 12:05 by zhyzzh
[论文投稿] 求助大佬sci投稿哪个好中 +3 江沅188 2026-05-12 4/200 2026-05-13 14:35 by 江沅188
信息提示
请填处理意见