| 查看: 807 | 回复: 5 | ||
[求助]
问一个关于源项的问题 已有1人参与
|
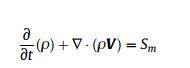
| 质量源项的单位是KG/(m3 s),可不可以理解成密度除以时间啊,那岂不是常数了??看到有的文献上定义的质量源项单位并不是这样,没有除m3请问这又怎么解释????大神指教啊 |
» 猜你喜欢
294求调剂
已经有8人回复
324求调剂
已经有14人回复
285求调剂
已经有6人回复
一志愿上海大学生物学346
已经有3人回复
322求调剂:一志愿湖南大学 材料与化工(085600),已过六级。
已经有16人回复
调剂
已经有10人回复
283求调剂
已经有7人回复
0703调剂
已经有6人回复
288环境专硕,求调材料方向
已经有6人回复
求调剂
已经有5人回复
» 本主题相关价值贴推荐,对您同样有帮助:
关于FDTD高斯面源设置的问题
已经有0人回复
关于化学反应中氧气源项的问题
已经有2人回复
非常全面的一份考研总结
已经有30人回复
【转帖】杜克之问:药物试验全球化,到底谁受益?
已经有16人回复
【原创】我的雅思心得
已经有22人回复
【转载】美国著名高校生活指南
已经有140人回复
催化版上2008-04-25前 沸石分子筛,ZSM-系、SAPO-系 共466个话题集锦
已经有110人回复
bfamq
铁杆木虫 (著名写手)
- 应助: 184 (高中生)
- 金币: 6790.9
- 散金: 2115
- 红花: 90
- 帖子: 2320
- 在线: 1029.1小时
- 虫号: 1621962
- 注册: 2012-02-16
- 专业: 凝聚态物性 II :电子结构

2楼2016-10-18 20:51:22
3楼2016-10-18 21:07:58
bfamq
铁杆木虫 (著名写手)
- 应助: 184 (高中生)
- 金币: 6790.9
- 散金: 2115
- 红花: 90
- 帖子: 2320
- 在线: 1029.1小时
- 虫号: 1621962
- 注册: 2012-02-16
- 专业: 凝聚态物性 II :电子结构

4楼2016-10-19 08:41:31
5楼2016-10-19 09:06:29
jiguozhao
铁杆木虫 (著名写手)
- 应助: 4 (幼儿园)
- 金币: 15888.4
- 散金: 2530
- 帖子: 2373
- 在线: 103.7小时
- 虫号: 849292
- 注册: 2009-09-16
- 专业: 可再生与替代能源利用中的

6楼2016-10-22 09:58:30














回复此楼