| 查看: 968 | 回复: 1 | ||
zw0123456789zw至尊木虫 (职业作家)
Felix Baumgartner Space Jump
|
[求助]
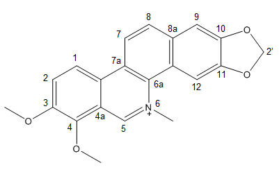
化合物结构编号 已有1人参与
|
|
|
|
||
yymslx2010
|
【答案】应助回帖
★ ★
感谢参与,应助指数 +1 zw0123456789zw: 金币+2, ★有帮助, 谢谢指点 2016-10-18 05:56:29
|
|
|
2楼2016-10-17 19:06:47
|
|















回复此楼