| ²é¿´: 419 | »Ø¸´: 3 | ||
zax111zaxгæ (СÓÐÃûÆø)
|
[ÇóÖú]
Çë½ÌÒ»¸öСÎÊÌâ
|
|
Çë´ó¼Ò°ïæ½â»ó ·¢×ÔСľ³æIOS¿Í»§¶Ë |
» ²ÂÄãϲ»¶
È˹¤ÖÇÄÜ320µ÷¼Á08¹¤À໹Óлú»áÂð
ÒѾÓÐ17È˻ظ´
¿¼ÑÐÓ¢Ò»ÊýÒ»338·Ö
ÒѾÓÐ10È˻ظ´
ÇóÖúµ÷¼Á£¬¿çµ÷
ÒѾÓÐ15È˻ظ´
085600²ÄÁÏÓ뻯¹¤329·ÖÇóµ÷¼Á
ÒѾÓÐ20È˻ظ´
085600²ÄÁÏÓ뻯¹¤349·ÖÇóµ÷¼Á
ÒѾÓÐ15È˻ظ´
Çóµ÷¼Á
ÒѾÓÐ13È˻ظ´
Ò»Ö¾Ô¸»ªÄÏÀí¹¤´óѧ331·Ö²ÄÁÏÇóµ÷¼Á
ÒѾÓÐ11È˻ظ´
271Çóµ÷¼Á
ÒѾÓÐ40È˻ظ´
Çóµ÷¼ÁѧУ
ÒѾÓÐ3È˻ظ´
332Çóµ÷¼Á
ÒѾÓÐ15È˻ظ´
qfw_68
°æÖ÷ (ÎÄ̳¾«Ó¢)
ÓÐβ°ÍµÄÇàÍÜ
- ²©Ñ§EPI: 2910
- Ó¦Öú: 120 (¸ßÖÐÉú)
- ¹ó±ö: 0.414
- ½ð±Ò: 85720.6
- É¢½ð: 3020
- ºì»¨: 212
- ɳ·¢: 7684
- Ìû×Ó: 39484
- ÔÚÏß: 4852.6Сʱ
- ³æºÅ: 797958
- ×¢²á: 2009-06-24
- ÐÔ±ð: GG
- רҵ: ×ÔÈ»ÓïÑÔÀí½âÓë»úÆ÷·Òë
- ¹ÜϽ: Óн±ÎÊ´ð
¡¾´ð°¸¡¿Ó¦Öú»ØÌû
¡ï ¡ï ¡ï ¡ï ¡ï ¡ï ¡ï ¡ï ¡ï ¡ï ¡ï ¡ï ¡ï ¡ï ¡ï
zax111zax: ½ð±Ò+10, ¡ï¡ï¡ï¡ï¡ï×î¼Ñ´ð°¸, 明白了 é?žå¸¸æ„Ÿè°¢ 2016-10-19 14:59:52
zax111zax: ½ð±Ò+5, ¡ï¡ï¡ï¡ï¡ï×î¼Ñ´ð°¸ 2016-10-19 15:00:20
zax111zax: ½ð±Ò+10, ¡ï¡ï¡ï¡ï¡ï×î¼Ñ´ð°¸, 明白了 é?žå¸¸æ„Ÿè°¢ 2016-10-19 14:59:52
zax111zax: ½ð±Ò+5, ¡ï¡ï¡ï¡ï¡ï×î¼Ñ´ð°¸ 2016-10-19 15:00:20
|
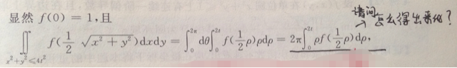
»ý·ÖûÓÐÎÊÌâ¡£Ö»²»¹ýÊÇÖ±½Ç×ø±êµ½¼«×ø±êµÄ±ä»»ÎÊÌâ¡£ ²Î¼ûµÚ9/48Ò³½áÂÛ£º ¼«×ø±ê¼ÆËã¶þÖØ»ý·Ö http://wenku.baidu.com/link?url= ... zmkd7jERDsa-Voj7eWm d¦ÈÔÚ0ÖÁ2¦ÐÇø¼äµÄ»ý·ÖÖµ¾ÍÊÇ2¦Ð¡£ |

2Â¥2016-10-12 15:07:40
ld375404174
ÖÁ×ðľ³æ (ÖªÃû×÷¼Ò)
ace
- Ó¦Öú: 6 (Ó×¶ùÔ°)
- ½ð±Ò: 13956.7
- É¢½ð: 70
- ºì»¨: 19
- ɳ·¢: 13
- Ìû×Ó: 6390
- ÔÚÏß: 436.5Сʱ
- ³æºÅ: 3004693
- ×¢²á: 2014-02-28
- ÐÔ±ð: GG
- רҵ: Ò±½ðÓë¿óÒµ
3Â¥2016-10-15 08:45:17
peterflyer
ľ³æÖ®Íõ (ÎÄѧ̩¶·)
peterflyer
- ²©Ñ§EPI: 4
- Ó¦Öú: 20282 (Ժʿ)
- ½ð±Ò: 146248
- ºì»¨: 1374
- Ìû×Ó: 93091
- ÔÚÏß: 7694.3Сʱ
- ³æºÅ: 1482829
- ×¢²á: 2011-11-08
- ÐÔ±ð: GG
- רҵ: ¹¦ÄÜÌÕ´É
4Â¥2016-10-15 10:19:34














»Ø¸´´ËÂ¥
5