| 查看: 706 | 回复: 5 | |
花开亦不离捐助贵宾 (正式写手)
|
[求助]
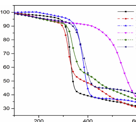
origin这图怎么画?急 求指导
|
![]() |
|
|
|
|
glin08至尊木虫 (文坛精英)
|
|
![]() |
|
|
2楼2016-10-09 23:27:29
|
|
glin08至尊木虫 (文坛精英)
|
|
![]() |
|
|
3楼2016-10-09 23:27:58
|
|
小坏蛋lxh新虫 (著名写手)
|
|
|
4楼2016-10-10 00:13:28
|
|
|
5楼2016-10-10 08:59:35
|
|
perfectpoint铁杆木虫 (著名写手)
|
|
|
6楼2016-10-10 11:54:52
|
|














回复此楼