| 查看: 1303 | 回复: 2 | |||
yufameng银虫 (小有名气)
|
[求助]
陶瓷前驱体供应商 已有1人参与
|
|
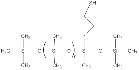
各位大侠,国内有哪些厂家可以生产陶瓷前驱体聚合物,比如(mercaptopropyl) methylsiloxane CAS:102783-03-9和vinylmethoxysiloxane CAS:131298-48-1,本公司急求可以生产这两种化合物的厂家,可以生产的速联系,于先生:18682023992. 1.png 2.png |
» 收录本帖的淘帖专辑推荐
陶瓷前驱体 |
» 猜你喜欢
售SCI一区文章,我:8 O5 51O 54,科目齐全,可+急
已经有6人回复
售SCI一区文章,我:8 O5 51O 54,科目齐全,可+急
已经有5人回复
售SCI一区文章,我:8 O5 51O 54,科目齐全,可+急
已经有6人回复
售SCI一区文章,我:8 O5 51O 54,科目齐全,可+急
已经有6人回复
售SCI一区文章,我:8 O5 51O 54,科目齐全,可+急
已经有8人回复
售SCI一区文章,我:8 O5 51O 54,科目齐全,可+急
已经有3人回复
版面费该交吗
已经有8人回复
售SCI一区文章,我:8 O5 51O 54,科目齐全,可+急
已经有3人回复
基金正文30页指的是报告正文还是整个申请书
已经有6人回复
面上可以超过30页吧?
已经有4人回复


2楼2016-10-21 16:03:55
3楼2018-07-10 20:03:52













回复此楼