±±¾©Ê¯ÓÍ»¯¹¤Ñ§Ôº2026ÄêÑо¿ÉúÕÐÉú½ÓÊÕµ÷¼Á¹«¸æ
²é¿´: 445  |  »Ø¸´: 0

fanbao_keke

Ìú³æ (ÕýʽдÊÖ)

[ÇóÖú] Çó¸ßÊÖ°ïÎÒÐÞ¸ÄÒ»¸öÇó±¾Õ÷º¯ÊýµÄ³ÌÐò

Çó¸ßÊÖ°ïÎÒÐÞ¸ÄÒ»¸öÇó±¾Õ÷º¯ÊýµÄ³ÌÐò£º
clear all
m=1
tt=1;
ttt=0.1;
w=10
for F=0:0.02:4
J=100;  T=2*pi/w;
tstep=T/J;  U=eye(4,4);
for t=tstep:tstep:T
H=zeros(4,4);
H_0=zeros(4,4);
H_0(1,2)=tt;
H_0(2,1)=tt;
H_0(2,3)=tt;
H_0(3,2)=tt;
H_0(3,4)=tt;
H_0(4,3)=tt;
H_0(1,3)=ttt;
H_0(3,1)=ttt;
H_0(2,4)=ttt;
H_0(4,2)=ttt;
H(1,1)=F*w*sin(w*t);
U=expm(-1i*(H_0+H)*tstep)*U;
end
[C,Ueig]=eig(U);
QuasiEnergy=((1i*log(diag(Ueig))/T));
ExpectH_0=(C'*(H_0)*C);
[ExpSort,Index]=sort(real(diag(ExpectH_0)));
[CC,Ueig]=(eig(U));
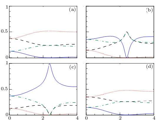
%  yy=CC(:,Index(2))  %Õâ¸öÃüÁîÏÂͼ2Óëͼ3µÄͼ»ì´í
  yy=CC(:,2)  %Õâ¸öÃüÁîÏÂÔÚºá×ø±ê2.4¸½½üÓм¸¸öµã²»Á¬Ðø£¬Óв»¶ÔµÄÖµ¡£
yy1(m)=yy(1)
yy2(m)=yy(2)
yy3(m)=yy(3)
yy4(m)=yy(4)
m=m+1;
end
plot(0:0.02:4,abs(yy1).^2,'k.','MarkerSize',1.5)
hold on
plot(0:0.02:4,abs(yy2).^2,'k.','MarkerSize',1.5)
hold on
plot(0:0.02:4,abs(yy3).^2,'k.','MarkerSize',1.5)
hold on
plot(0:0.02:4,abs(yy4).^2,'k.','MarkerSize',1.5)

ÔÚ¼ÆËã±¾Õ÷º¯ÊýʱÓà yy=CC(:,Index(2))  %Õâ¸öÃüÁîÏÂͼ2Óëͼ3µÄͼ»ì´í
  ÓÃyy=CC(:,2)  %Õâ¸öÃüÁîÏÂÔÚºá×ø±ê2.4¸½½üÓм¸¸öµã²»Á¬Ðø£¬Óв»¶ÔµÄÖµ¡£

ÇóÖúÈçºÎ´¦Àí±¾Õ÷º¯ÊýµÄÅÅÐòÎÊÌ⣿

ÕýÈ·µÄͼÒѸø³öÔÚ¸½¼þÀï¡£

Çó¸ßÊÖ°ïÎÒÐÞ¸ÄÒ»¸öÇó±¾Õ÷º¯ÊýµÄ³ÌÐò
н¨ Microsoft Word Document (4).jpg
»Ø¸´´ËÂ¥

» ²ÂÄãϲ»¶

ÒÑÔÄ   »Ø¸´´ËÂ¥   ¹Ø×¢TA ¸øTA·¢ÏûÏ¢ ËÍTAºì»¨ TAµÄ»ØÌû
Ïà¹Ø°æ¿éÌø×ª ÎÒÒª¶©ÔÄÂ¥Ö÷ fanbao_keke µÄÖ÷Ìâ¸üÐÂ
×î¾ßÈËÆøÈÈÌûÍÆ¼ö [²é¿´È«²¿] ×÷Õß »Ø/¿´ ×îºó·¢±í
[¿¼ÑÐ] 265Çóµ÷¼Á +9 ÁºÁºÐ£Ð£ 2026-04-01 9/450 2026-04-03 01:25 by С±ý¸Éѧ½ã0
[¿¼ÑÐ] 085600ר˶²ÄÁÏÓ뻯¹¤348·ÖÇóµ÷¼Á +9 ÉÏѧÀ²£¡ 2026-04-01 10/500 2026-04-03 01:13 by BruceLiu320
[¿¼ÑÐ] 085600µ÷¼Á +3 1amJJ 2026-04-02 3/150 2026-04-02 22:00 by ¿ÆÑÐСר¼Ò
[¿¼ÑÐ] 372·Ö²ÄÁÏÓ뻯¹¤£¨085600£©Ò»Ö¾Ô¸ºþÄÏ´óѧÇóµ÷¼Á +5 À¶¼ãƬ 2026-04-02 6/300 2026-04-02 21:37 by dongzh2009
[¿¼ÑÐ] 316Çóµ÷¼Á +12 ÖÛ×Ô¹£ 2026-04-01 16/800 2026-04-02 17:33 by zzsw+
[¿¼ÑÐ] Ò»Ö¾Ô¸9³õÊÔ366 ±¾Ë«·ÇÇóµ÷¼Á +4 ÔËÆøÀ´µÃÈôÓÐËÆÎ 2026-04-02 4/200 2026-04-02 09:56 by guanxin1001
[¿¼ÑÐ] Ò»Ö¾Ô¸346ÉϺ£´óѧÉúÎïѧ +3 ÉϺ£´óѧ346µ÷¼Á 2026-04-01 3/150 2026-04-02 08:36 by w³æ³æ123
[¿¼ÑÐ] 0710ÉúÎïѧ¿¼Ñе÷¼Á +3 Àî¶àÃ×lee. 2026-03-27 4/200 2026-04-01 16:21 by zzchen2000
[¿¼ÑÐ] Ò»Ö¾Ô¸±±½»²ÄÁϹ¤³Ì×Ü·Ö358 +5 cs0106 2026-04-01 7/350 2026-04-01 11:45 by wangjy2002
[¿¼ÑÐ] ¿¼ÑвÄÁϹ¤³Ì351·Öµ÷¼Á +5 Õû¸öºÃµÄ 2026-03-31 5/250 2026-04-01 09:36 by topgun2009
[¿¼ÑÐ] ½­ËÕËÕ±±¸ßУ³ÏÑûµ÷¼Áͬѧ +3 zzll406 2026-03-31 3/150 2026-03-31 16:54 by ¼°Ê±ÐÐÀÖfan
[¿¼ÑÐ] Çó»¯Ñ§µ÷¼Á +12 wulanna 2026-03-28 12/600 2026-03-31 16:38 by 690616278
[¿¼ÑÐ] 282Çóµ÷¼Á +3 ºôÎü¶¼ÊǼõ·Ê 2026-03-31 3/150 2026-03-31 10:00 by wangjy2002
[¿¼ÑÐ] ¹þ¶û±õ¹¤Òµ´óѧ²ÄÁÏÓ뻯¹¤×¨Ë¶378Çóµ÷¼Á +3 Ëþ±ÈÎÚ˹ 2026-03-30 3/150 2026-03-30 22:55 by Î޼ʵIJÝÔ­
[¿¼ÑÐ] 279Çóµ÷¼Á +12 jµÄÁ¢·½ 2026-03-29 12/600 2026-03-30 20:30 by dick_runner
[¿¼ÑÐ] 279Çóµ÷¼Á +4 µûÎèÇáÈÆ 2026-03-29 4/200 2026-03-29 09:45 by laoshidan
[¿¼ÑÐ] 085600£¬×¨Òµ¿Î»¯¹¤Ô­Àí£¬321·ÖÇóµ÷¼Á +5 ´ó²öС×Ó 2026-03-28 5/250 2026-03-29 08:56 by qingfeng258
[¿¼ÑÐ] Çó·ð +7 ÃÔÈ˵Ĺþ¹þ 2026-03-28 7/350 2026-03-28 16:47 by ´ß»¯´ó°×
[¿¼ÑÐ] ±¾¿ÆÐÂÄÜÔ´¿ÆÑ§Ó빤³Ì£¬Ò»Ö¾Ô¸»ªÀíÄܶ¯285Çóµ÷¼Á +3 AZMK 2026-03-27 5/250 2026-03-28 16:19 by xxxsssccc
[¿¼ÑÐ] ²ÄÁÏÓ뻯¹¤£¨0856£©304ÇóBÇøµ÷¼Á +8 Çñgl 2026-03-27 8/400 2026-03-28 12:42 by ÌÆãå¶ù
ÐÅÏ¢Ìáʾ
ÇëÌî´¦ÀíÒâ¼û